Open Access

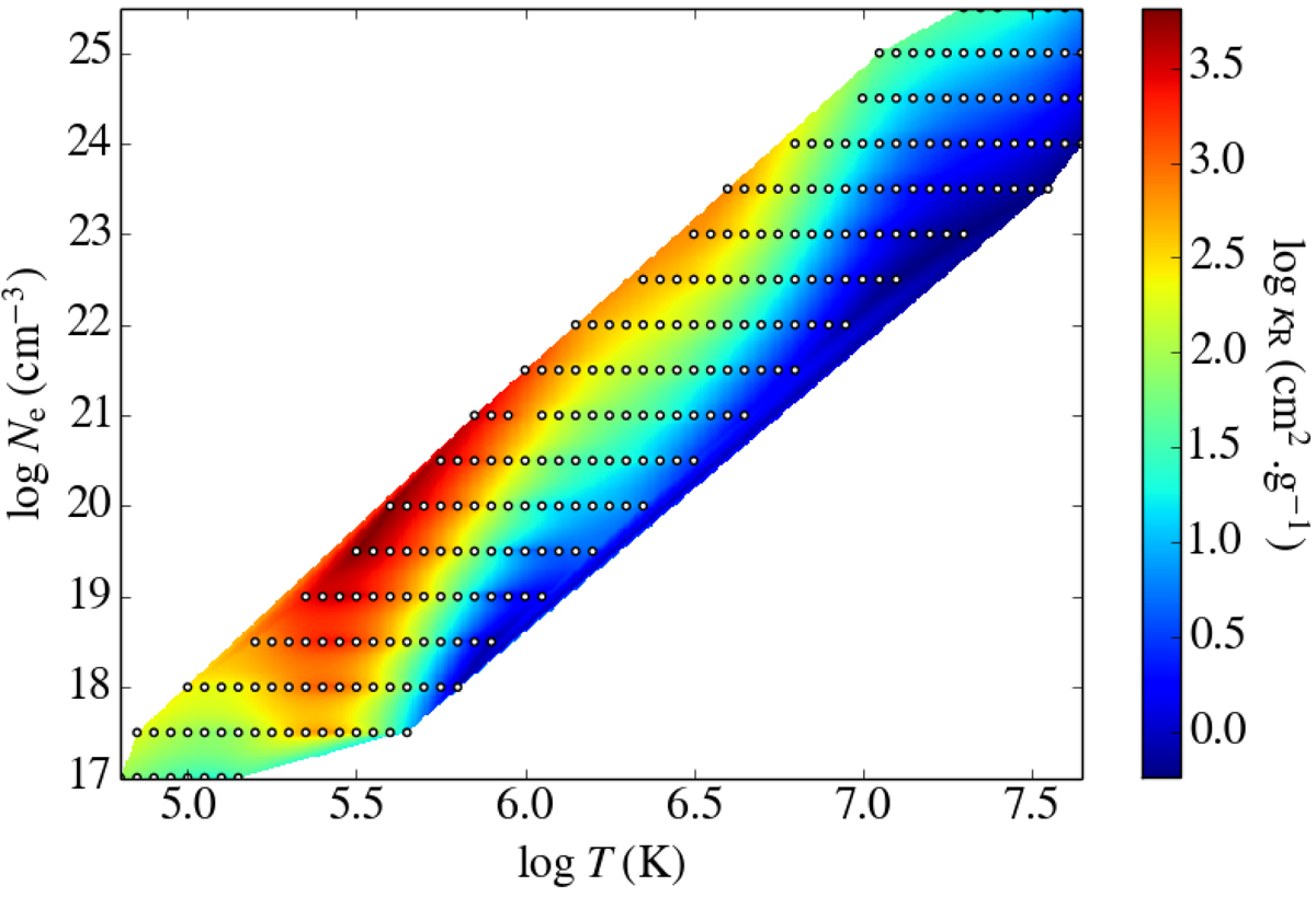
Fig. 1.

image

Download original image

Rosseland mean opacities κR of nickel computed with SCO-RCG in the (T, Ne) plane. The dots represent the grid points where the computations are made. The highest values are met in the area around log T = 5.4, i.e., in the so-called Z-bump.

Current usage metrics show cumulative count of Article Views (full-text article views including HTML views, PDF and ePub downloads, according to the available data) and Abstracts Views on Vision4Press platform.

Data correspond to usage on the plateform after 2015. The current usage metrics is available 48-96 hours after online publication and is updated daily on week days.

Initial download of the metrics may take a while.