Open Access

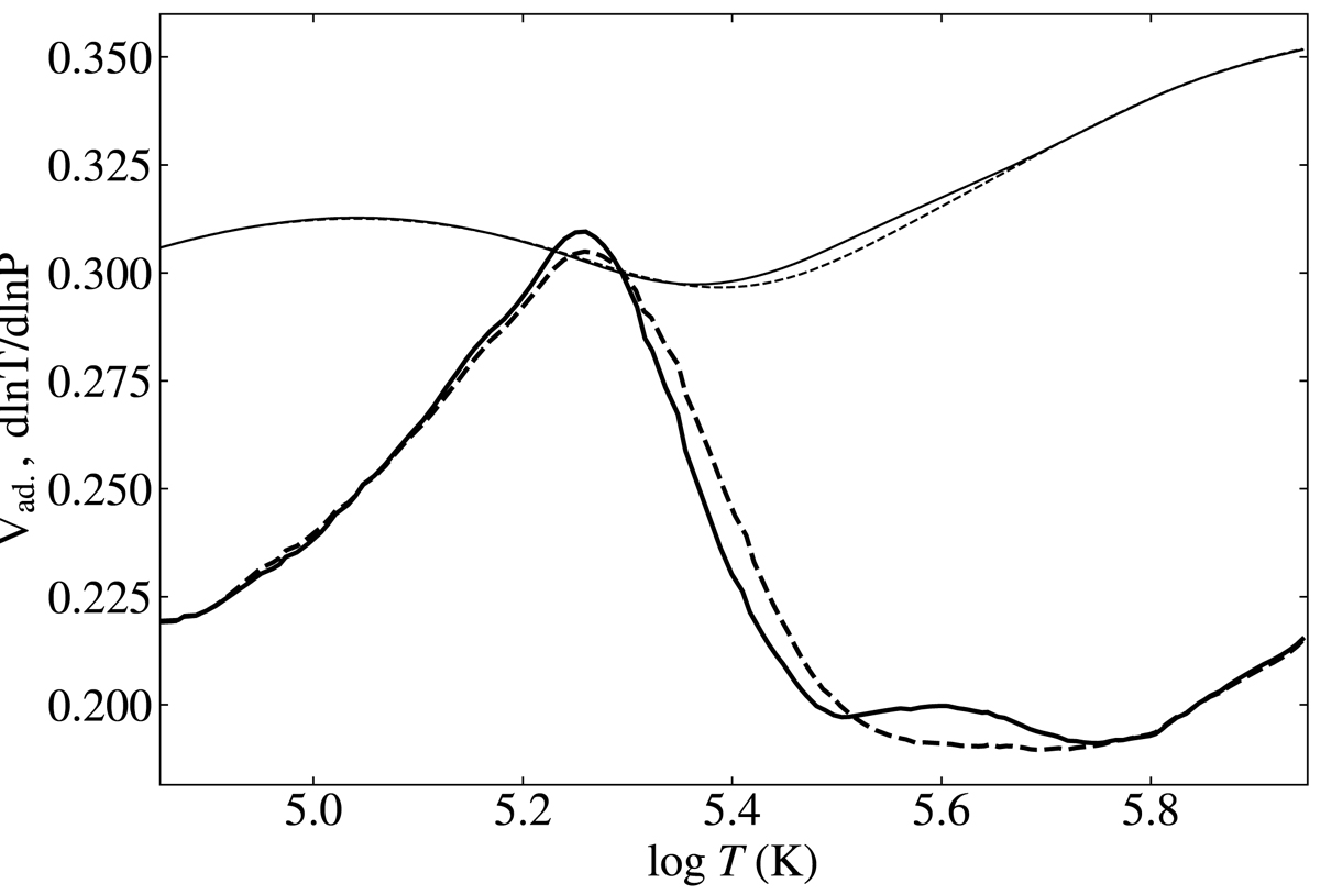
Fig. 9.

image

Download original image

Adiabatic (thin lines), and real gradients (thick lines) as a function of log T. The solid and dashed lines correspond to a model computed with the new Ni data and to a model calculated with Ni cross sections from OP, respectively.

Current usage metrics show cumulative count of Article Views (full-text article views including HTML views, PDF and ePub downloads, according to the available data) and Abstracts Views on Vision4Press platform.

Data correspond to usage on the plateform after 2015. The current usage metrics is available 48-96 hours after online publication and is updated daily on week days.

Initial download of the metrics may take a while.