Free Access

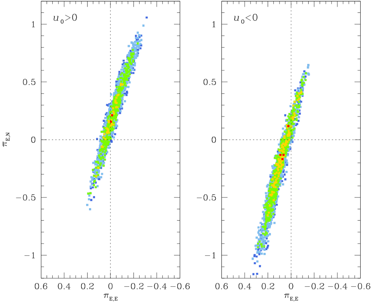
Fig. 5

image

Download original image

Scatter plot of MCMC points on the πE,NπE,E parameter plane. Color coding is same as that in Fig. 2, except that n = 1. The right and left panels are the plots for the two degenerate solutions with u0 > 0 and u0 < 0 solutions, respectively.

Current usage metrics show cumulative count of Article Views (full-text article views including HTML views, PDF and ePub downloads, according to the available data) and Abstracts Views on Vision4Press platform.

Data correspond to usage on the plateform after 2015. The current usage metrics is available 48-96 hours after online publication and is updated daily on week days.

Initial download of the metrics may take a while.