Open Access

Fig. 9

image

Download original image

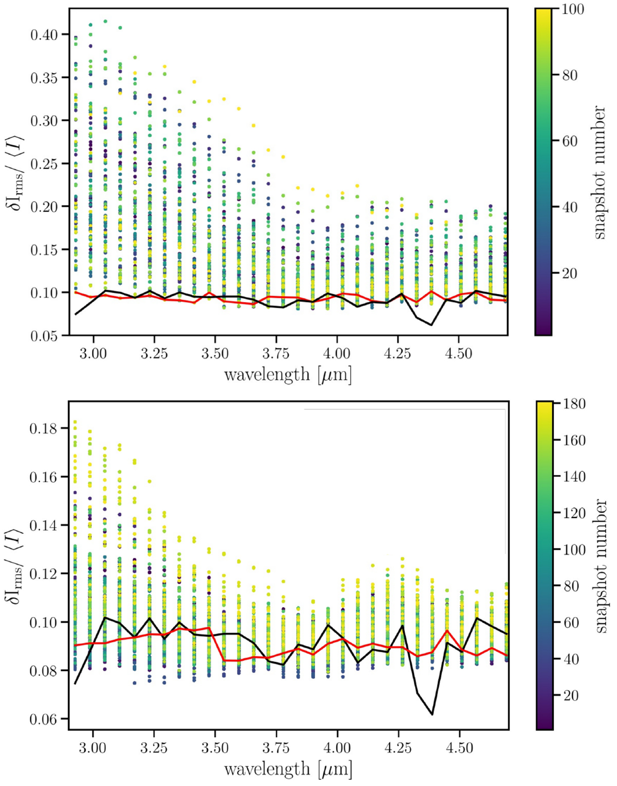
Intensity contrast in the case of the AGB (top) and the RSG (bottom) simulations as a function of the wavelength in the L and M bands. Each coloured point indicates a different snapshot and the vertical bar on the right gives its number in the simulated temporal coverage. The black line displays the contrast of reconstructed images of Fig. 4 and the red line the best matching snapshot across the wavelength bins.

Current usage metrics show cumulative count of Article Views (full-text article views including HTML views, PDF and ePub downloads, according to the available data) and Abstracts Views on Vision4Press platform.

Data correspond to usage on the plateform after 2015. The current usage metrics is available 48-96 hours after online publication and is updated daily on week days.

Initial download of the metrics may take a while.