Free Access

This article has an erratum: [https://doi.org/10.1051/0004-6361/202558164e]


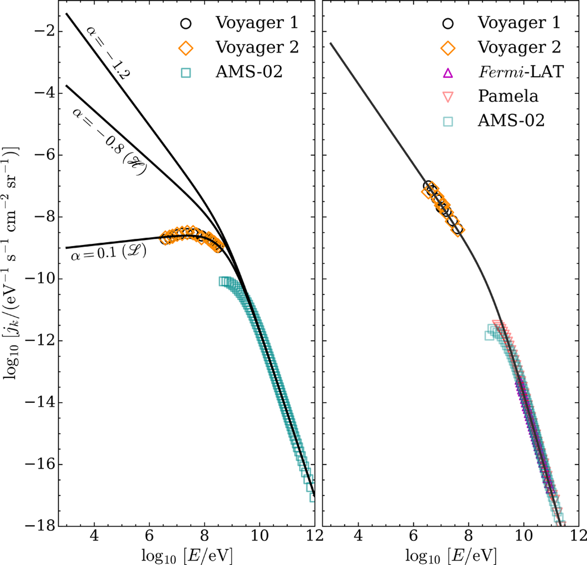
Fig. 3

image

Download original image

Cosmic-ray proton and electron spectra. Left panel: CR proton spectrum as a function of the energy for three low-energy spectral slopes: α = 0.1 (labelled as model ), α = −0.8 (labelled as model ), and α = −1.2. Right panel: CR electron spectrum as a function of the energy. Data are from Voyager 1 (black circles; Cummings et al. 2016); Voyager 2 (orange diamonds; Stone et al. 2019); Fermi-LAT (upward-pointing magenta triangles; Ackermann et al. 2010); Pamela (downward-pointing pink triangles; Adriani et al. 2011); and AMS-02 (cyan squares; Aguilar et al. 2014, 2015).

Current usage metrics show cumulative count of Article Views (full-text article views including HTML views, PDF and ePub downloads, according to the available data) and Abstracts Views on Vision4Press platform.

Data correspond to usage on the plateform after 2015. The current usage metrics is available 48-96 hours after online publication and is updated daily on week days.

Initial download of the metrics may take a while.