Free Access

This article has an erratum: [https://doi.org/10.1051/0004-6361/202558164e]


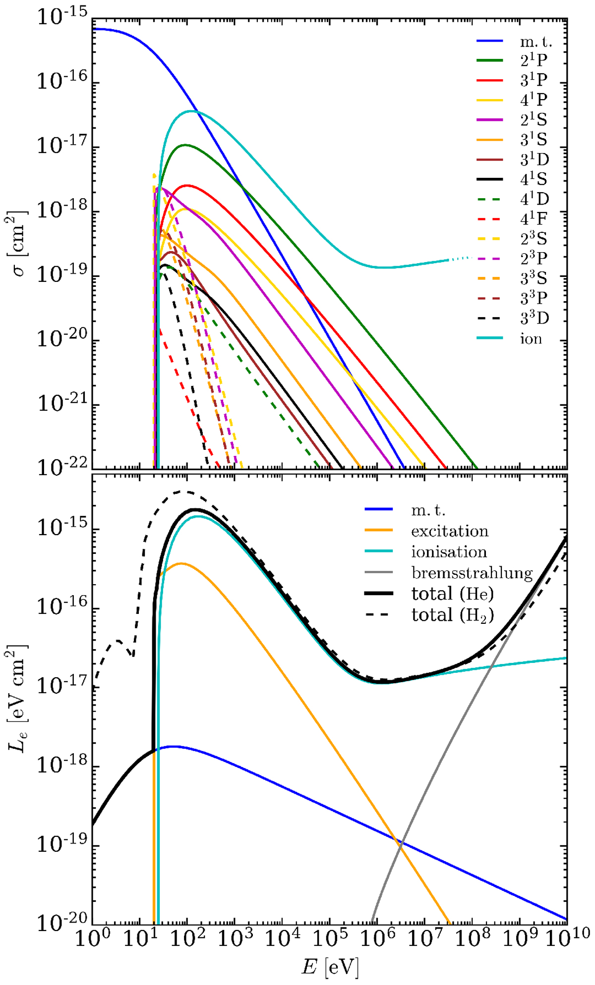
Fig. A.1

image

Download original image

Cross sections and energy loss function for electrons in helium. Upper panel: Momentum transfer cross section (‘m.t.’; Pinto & Galli 2008), excitation cross sections (Ralchenko et al. 2008), and ionisation cross section (‘ion’; Kim et al. 2000) for electrons colliding with He atoms. Lower panel: Energy loss function for electrons colliding with He (solid black line), momentum transfer loss (‘m.t.’; solid blue line), total excitation loss (solid orange line), ionisation loss (solid cyan line), and bremsstrahlung loss (solid grey line, from Blumenthal & Gould 1970). For comparison, the loss function for electrons colliding with H2 (dashed black line) is shown.

Current usage metrics show cumulative count of Article Views (full-text article views including HTML views, PDF and ePub downloads, according to the available data) and Abstracts Views on Vision4Press platform.

Data correspond to usage on the plateform after 2015. The current usage metrics is available 48-96 hours after online publication and is updated daily on week days.

Initial download of the metrics may take a while.