Free Access

Fig. 5

image

Download original image

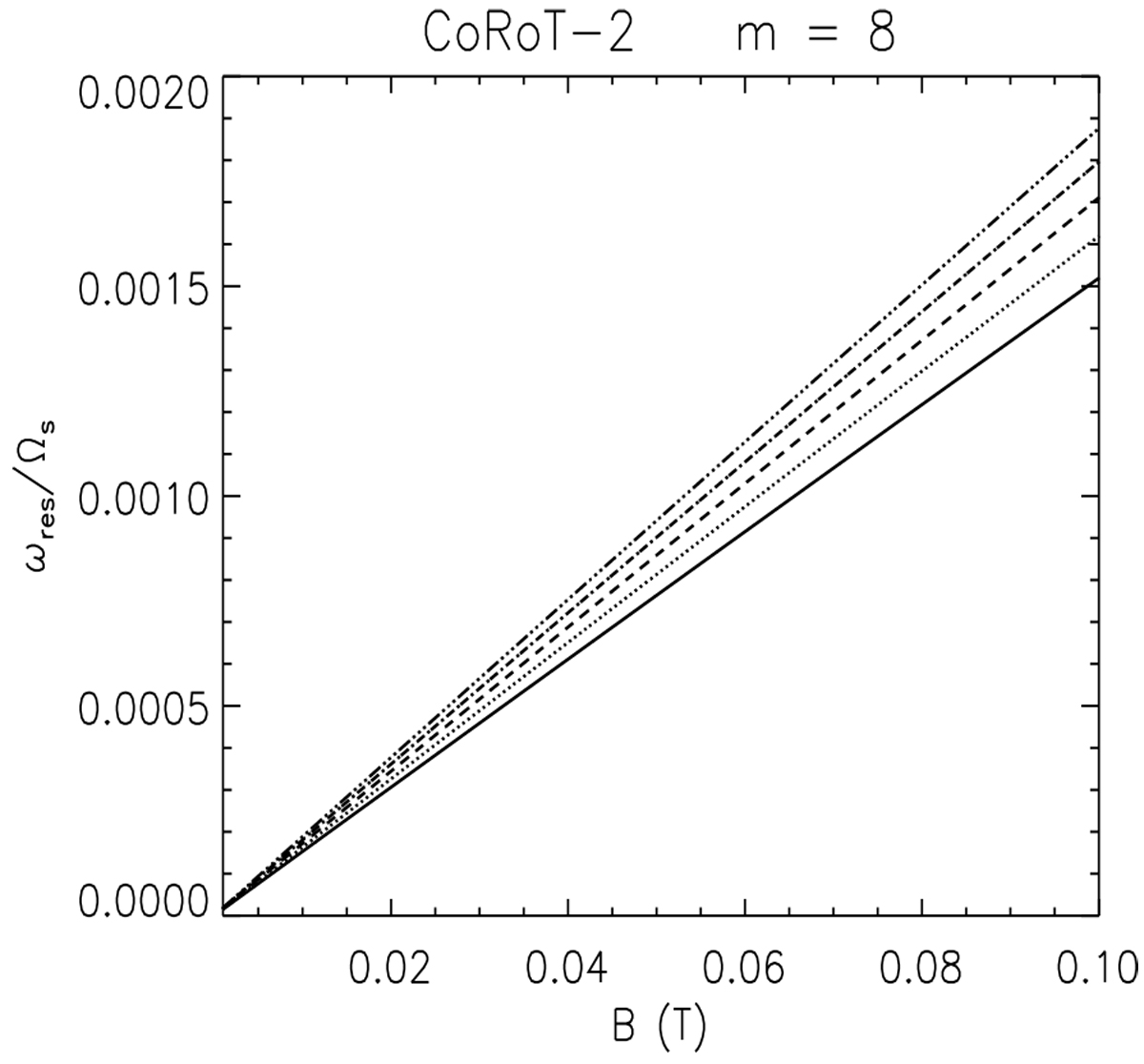
Resonant frequency, ωres, in units of the stellar spin frequency, Ωs, for CoRoT-2vs. the magnetic field strength, B, of the toroidal flux tube in its overshoot layer as given by Eq. (29) for different values of the subadiabatic gradient: δ = −6 × 10−6 (three-dot-dashed line), δ = −5 × 10−6 (dot-dashed line), δ = −4 × 10−6 (dashed line), δ = −3 × 10−6 (dotted line), and δ = −2 × 10−6 (solid line).

Current usage metrics show cumulative count of Article Views (full-text article views including HTML views, PDF and ePub downloads, according to the available data) and Abstracts Views on Vision4Press platform.

Data correspond to usage on the plateform after 2015. The current usage metrics is available 48-96 hours after online publication and is updated daily on week days.

Initial download of the metrics may take a while.