Free Access

Fig. 3.

image

Download original image

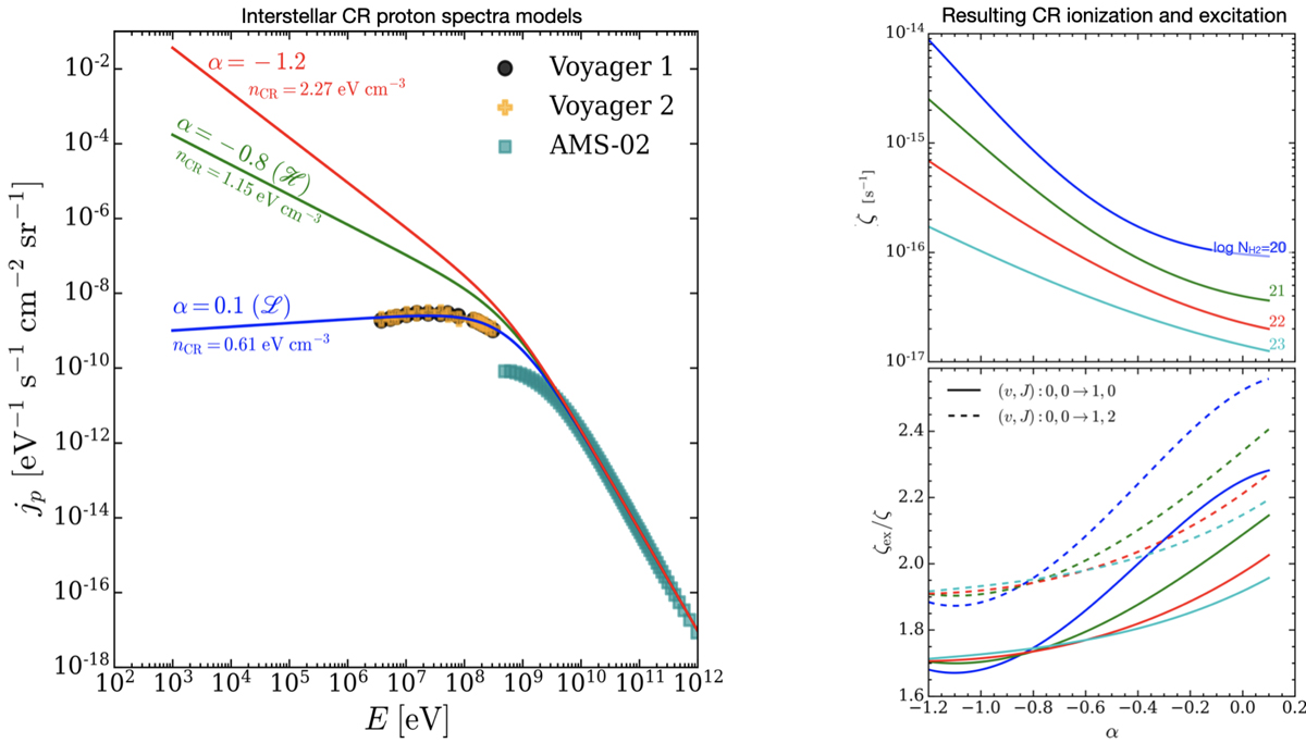
Models of interstellar cosmic rays and their propagation into a cloud. Left: the spectrum of interstellar CR protons that are impinging on the cloud at its boundary (NH2 = 0). For energies E ≳ 1 GeV, the spectrum is constrained by AMS02 observations (Aguilar et al. 2015). At lower energies, the spectrum is constrain by Voyager observations (Cummings et al. 2016; Stone et al. 2019), however, since these observations are likely not probing a representative interstellar spectrum (see Sect. 3.2), we consider different models with different low-energy spectral slopes, α. Right: the resulting CR ionization and excitation rates inside the cloud as a function of α and the clouds’ molecular column density NH2, as calculated by our CR propagation model.

Current usage metrics show cumulative count of Article Views (full-text article views including HTML views, PDF and ePub downloads, according to the available data) and Abstracts Views on Vision4Press platform.

Data correspond to usage on the plateform after 2015. The current usage metrics is available 48-96 hours after online publication and is updated daily on week days.

Initial download of the metrics may take a while.