Free Access

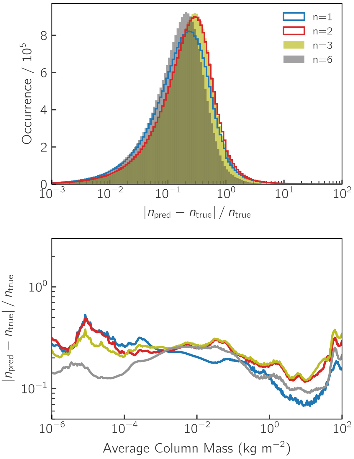
Fig. 5.

image

Download original image

Normalized departures between predicted and true populations for the enhanced network simulation (t = 4890 s), for four levels of hydrogen (n = 6 represents H II). Top: histograms for all points in the simulation. Bottom: median of the departures in the horizontal direction, as a function of average column mass. The colors for different levels are the same for both panels.

Current usage metrics show cumulative count of Article Views (full-text article views including HTML views, PDF and ePub downloads, according to the available data) and Abstracts Views on Vision4Press platform.

Data correspond to usage on the plateform after 2015. The current usage metrics is available 48-96 hours after online publication and is updated daily on week days.

Initial download of the metrics may take a while.