Fig. 15.

Download original image
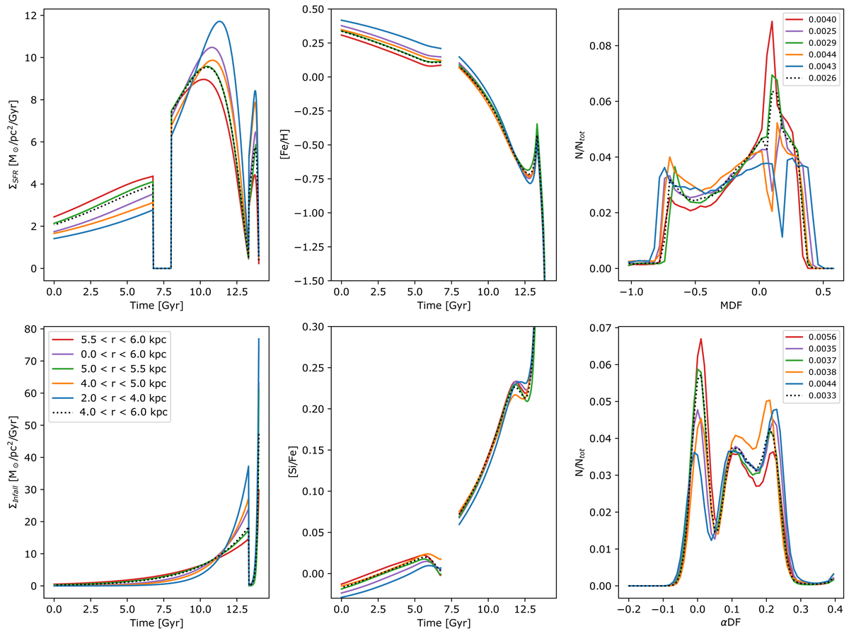
Best-fit infall and star formation histories for the different radial cuts (shown in kpc) for the exponential infall model. These runs use the τ = 5 initial conditions and ωMDF, αDF = 900. The different MDFs and αDFs in the different radial bins are shown in Fig. 15. The fitting values between the model and observations for the MDF and αDF are shown in the respective panels.
Current usage metrics show cumulative count of Article Views (full-text article views including HTML views, PDF and ePub downloads, according to the available data) and Abstracts Views on Vision4Press platform.
Data correspond to usage on the plateform after 2015. The current usage metrics is available 48-96 hours after online publication and is updated daily on week days.
Initial download of the metrics may take a while.