Fig. 3.

Download original image
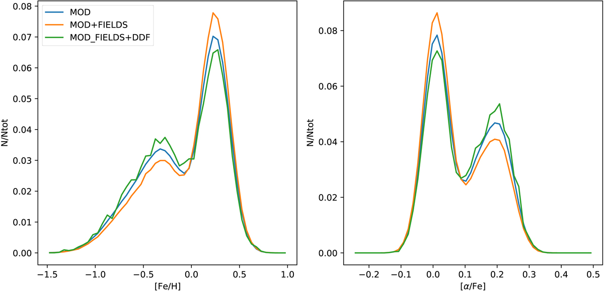
MDF and αDF from an N-body simulation. Left panel: raw MDF, right: αDF. The blue line is the DFs of all star particles in the N-body model, the orange line shows the DFs of all particles along each APOGEE pointing, and the green line shows the DFs of the star particles along each pointing, with the same DDF as APOGEE. We show the MDF and αDF for stars with a galactocentric radius of 4−6 kpc.
Current usage metrics show cumulative count of Article Views (full-text article views including HTML views, PDF and ePub downloads, according to the available data) and Abstracts Views on Vision4Press platform.
Data correspond to usage on the plateform after 2015. The current usage metrics is available 48-96 hours after online publication and is updated daily on week days.
Initial download of the metrics may take a while.