Fig. 9

Download original image
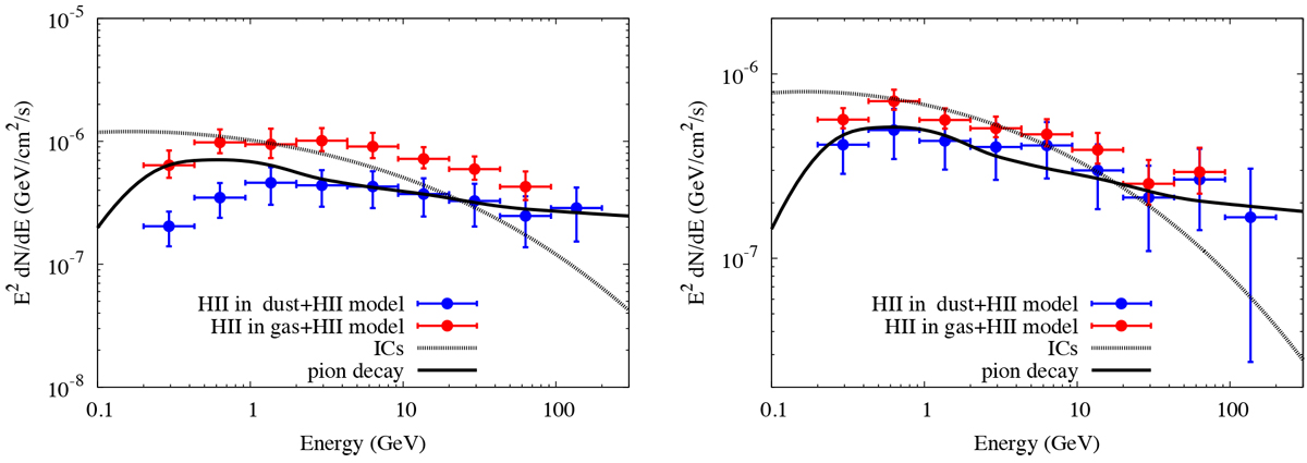
γ-ray flux associated with H II gas obtained for dust+H II models (blue) and gas+H II models, for region I (left panel) and region II (right panel), respectively. Also plotted are the possible contributions from IC and pion decay processes. The details can be found in the text.
Current usage metrics show cumulative count of Article Views (full-text article views including HTML views, PDF and ePub downloads, according to the available data) and Abstracts Views on Vision4Press platform.
Data correspond to usage on the plateform after 2015. The current usage metrics is available 48-96 hours after online publication and is updated daily on week days.
Initial download of the metrics may take a while.