Fig. 4.

Download original image
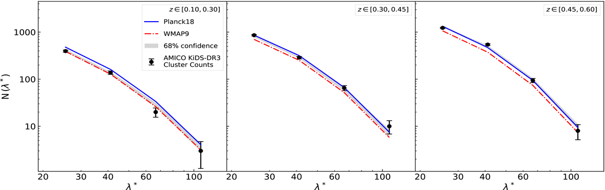
Number counts from the AMICO KiDS-DR3 cluster catalogue as a function of the intrinsic richness λ*, in the redshift bins z ∈ [0.10, 0.30], z ∈ [0.30, 0.45], and z ∈ [0.45, 0.60], from left to right. The black dots represent the counts directly retrieved from the catalogue, where the error bars are given by the Poissonian noise. The solid blue lines represent the model computed by assuming the cosmological parameters obtained by Planck Collaboration VI (2020) (Table 2, TT, TE, and EE+lowE), while the red dashed lines show the results based on the WMAP cosmological parameters (Hinshaw et al. 2013) (Table 3, WMAP-only Nine-year). Both in the Planck and WMAP cases, the scaling relation parameters and the intrinsic scatter have been fixed to the median values listed in Table 2, retrieved from the modelling. The grey bands represent the 68% confidence level derived from the multivariate posterior of all the free parameters considered in the cosmological analysis.
Current usage metrics show cumulative count of Article Views (full-text article views including HTML views, PDF and ePub downloads, according to the available data) and Abstracts Views on Vision4Press platform.
Data correspond to usage on the plateform after 2015. The current usage metrics is available 48-96 hours after online publication and is updated daily on week days.
Initial download of the metrics may take a while.