Fig. 2.

Download original image
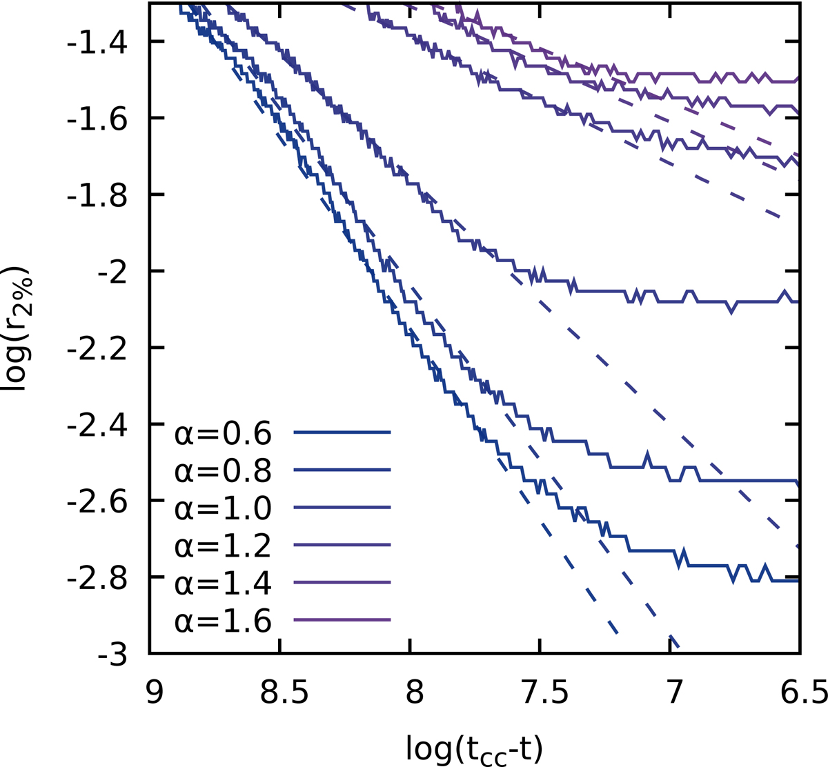
Power-law dependence between core size (r2% 3D Lagrangian radius) and time left to core collapse, tcc − t. A power-law relation (appearing linear in log-log scale) holds in the initial phases of core collapse. We show it here for models with mass-function slope α = 0.6, 0.8, 1.0, 1.2, 1.4, and 1.6, number of stars N = 2 × 105, and ℛ = 10−3. Due to our definition of the x axis, time increases from right to left. The solid lines are data from our simulations, and the superimposed dashed lines are a robust linear fit between the initial time and tcc − 100tdyn. The angular coefficient of the regression lines appears to vary systematically with the mass function. As expected, the power-law relation breaks before core collapse, when the self-similar contraction phase ends.
Current usage metrics show cumulative count of Article Views (full-text article views including HTML views, PDF and ePub downloads, according to the available data) and Abstracts Views on Vision4Press platform.
Data correspond to usage on the plateform after 2015. The current usage metrics is available 48-96 hours after online publication and is updated daily on week days.
Initial download of the metrics may take a while.