Free Access
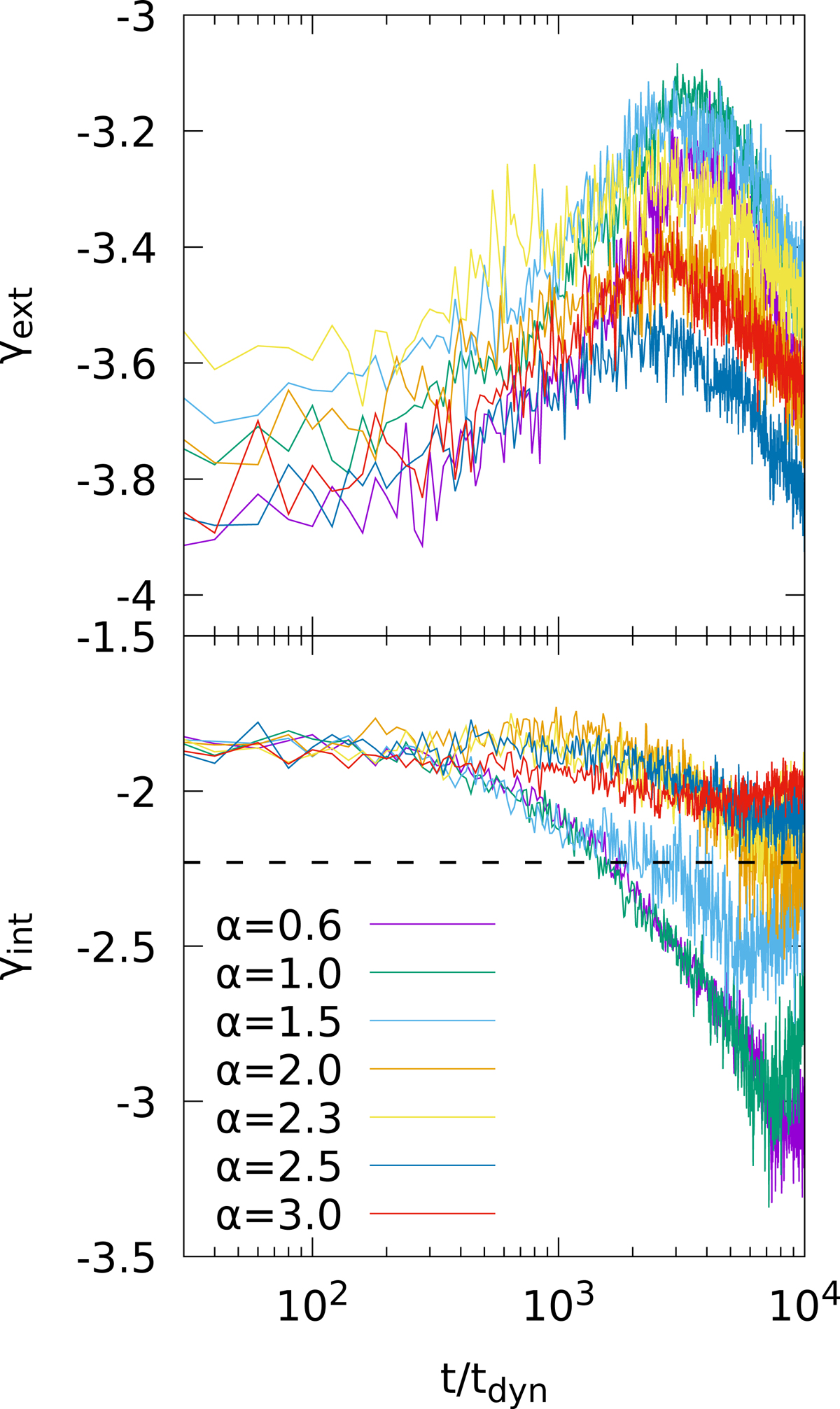
Fig. 6.

Download original image
Evolution of the 3D density slope, γ, between r50% and r80% (top panel) and between r10% and r50% (bottom panel) for the models with α = 0.6, 1.0, 1.5, 2.0, 2.3, 2.5, and 3.0, N = 2 × 105, and ℛ = 10−3. The horizontal dashed line in the bottom panel marks the asymptotic slope, γ = −2.23.
Current usage metrics show cumulative count of Article Views (full-text article views including HTML views, PDF and ePub downloads, according to the available data) and Abstracts Views on Vision4Press platform.
Data correspond to usage on the plateform after 2015. The current usage metrics is available 48-96 hours after online publication and is updated daily on week days.
Initial download of the metrics may take a while.