Free Access
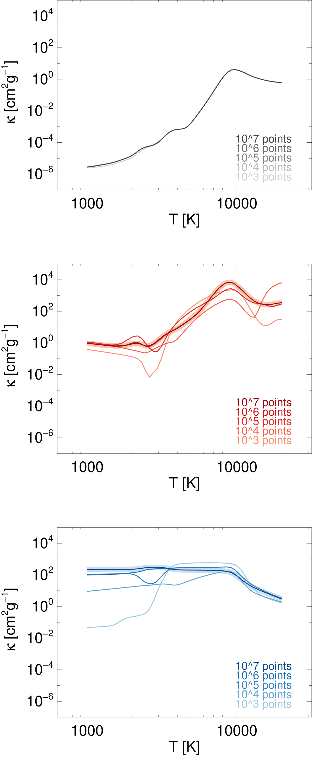
Fig. 6.

Download original image
Dependence of Rosseland mean (top), Planck mean (middle), and two-temperature Planck mean for Trad = 6000 K at log P = 2 on the number of grid points, equally spaced on a logarithmic grid. The thick light curves in the middle and the bottom panels are obtained via grid-independent calculations.
Current usage metrics show cumulative count of Article Views (full-text article views including HTML views, PDF and ePub downloads, according to the available data) and Abstracts Views on Vision4Press platform.
Data correspond to usage on the plateform after 2015. The current usage metrics is available 48-96 hours after online publication and is updated daily on week days.
Initial download of the metrics may take a while.