Fig. 9.

Download original image
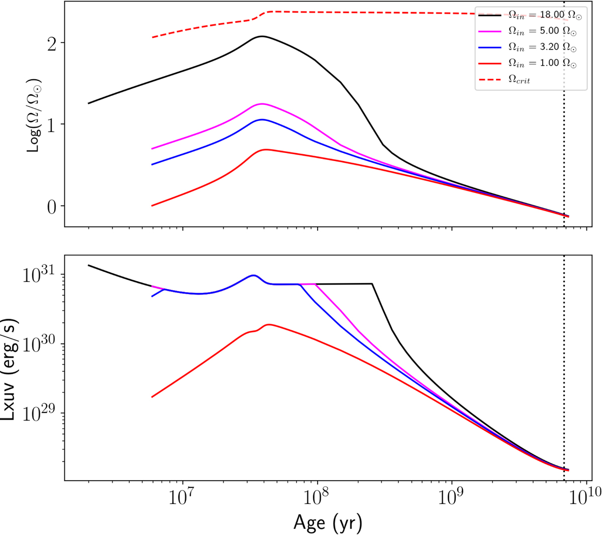
Top panel: evolution of the surface rotation rate of Kepler-93, in case of fast rotator (Ωini = 18 × Ω⊙, black solid line), medium rotator (Ωini = 5 × Ω⊙, magenta solid line), slow rotator (Ωini = 3.2 × Ω⊙, blue solid line) and super-slow rotator (Ωini = Ω⊙, red solid line). The red dashed line shows the critical velocity limit. The black-dotted vertical line indicates the age of the system. Bottom panel: XUV luminosity evolutionary tracks of Kepler-93, relatively to the different rotational histories considered.
Current usage metrics show cumulative count of Article Views (full-text article views including HTML views, PDF and ePub downloads, according to the available data) and Abstracts Views on Vision4Press platform.
Data correspond to usage on the plateform after 2015. The current usage metrics is available 48-96 hours after online publication and is updated daily on week days.
Initial download of the metrics may take a while.