Fig. 11

Download original image
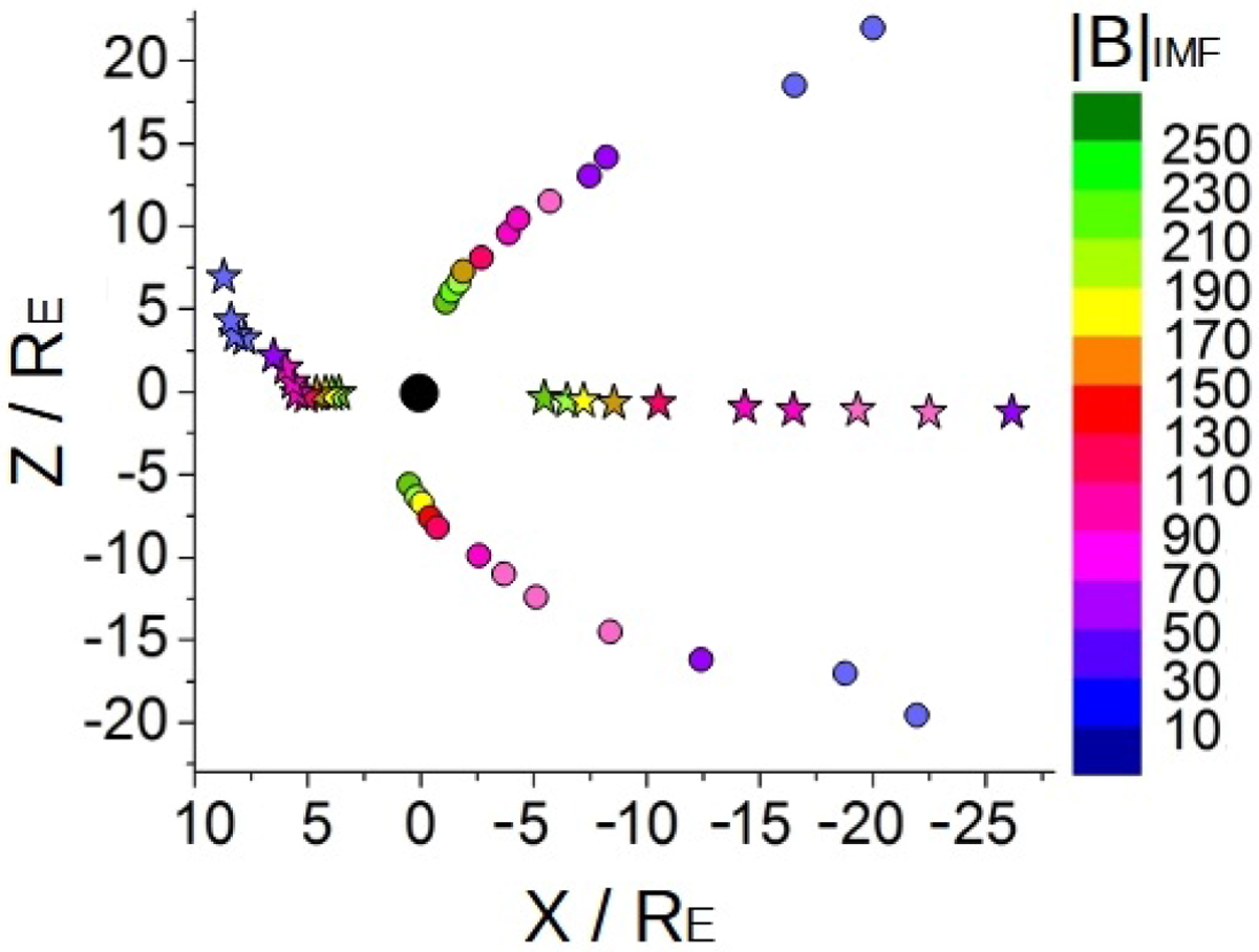
Location of the reconnection regions in the XY plane when |BIMF| increases from 10 to 250 nT for northward and southward IMF orientations. Pd = 1.2 nPa and Tsw = 1.8 × 105 K. The color contour indicates the |BIMF| value. The yellow (gray) star indicates the reconnection region on the DS (NS) for a southward IMF orientation. The yellow (gray) circle indicates the reconnection region near the North (South) pole for the northward IMF orientation.
Current usage metrics show cumulative count of Article Views (full-text article views including HTML views, PDF and ePub downloads, according to the available data) and Abstracts Views on Vision4Press platform.
Data correspond to usage on the plateform after 2015. The current usage metrics is available 48-96 hours after online publication and is updated daily on week days.
Initial download of the metrics may take a while.