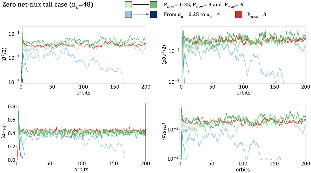
Fig. 7.

Download original image
Time evolution of several volume-averaged quantities for the tall box, unstratified ZNF cases at a resolution of nx = 48: magnetic energy (top left), kinetic energy (top right), normalized Maxwell stress (bottom left) and the total stress (bottom right). The red line show the case of Pm, AR = 3.0 where we set the Prandtl number by altering the AR strength. The green lines show the case where we set the Prandtl number by altering the AV strength, the darkness of the curve is determined by the value of the set Prandtl number, Pm, AV = [0.25, 3.0, 6.0]. The blue curves represent the cases with a set AR coefficient without forcing the Prandtl number, where the darkness is determined by the strength of the artificial resistivity parameter, αB = [0.25, 0.5, 1.0, 2.0, 4.0]. Four of the nine cases reach a saturated state (αB = 0.25, Pm, AR = 3.0, Pm, AV = 3.0, Pm, AV = 6.0). The code default value of αB = 0.5 sustains turbulence for a long time but starts to decay after around 120 orbits.
Current usage metrics show cumulative count of Article Views (full-text article views including HTML views, PDF and ePub downloads, according to the available data) and Abstracts Views on Vision4Press platform.
Data correspond to usage on the plateform after 2015. The current usage metrics is available 48-96 hours after online publication and is updated daily on week days.
Initial download of the metrics may take a while.