Free Access

Fig. B.3.

image

Download original image

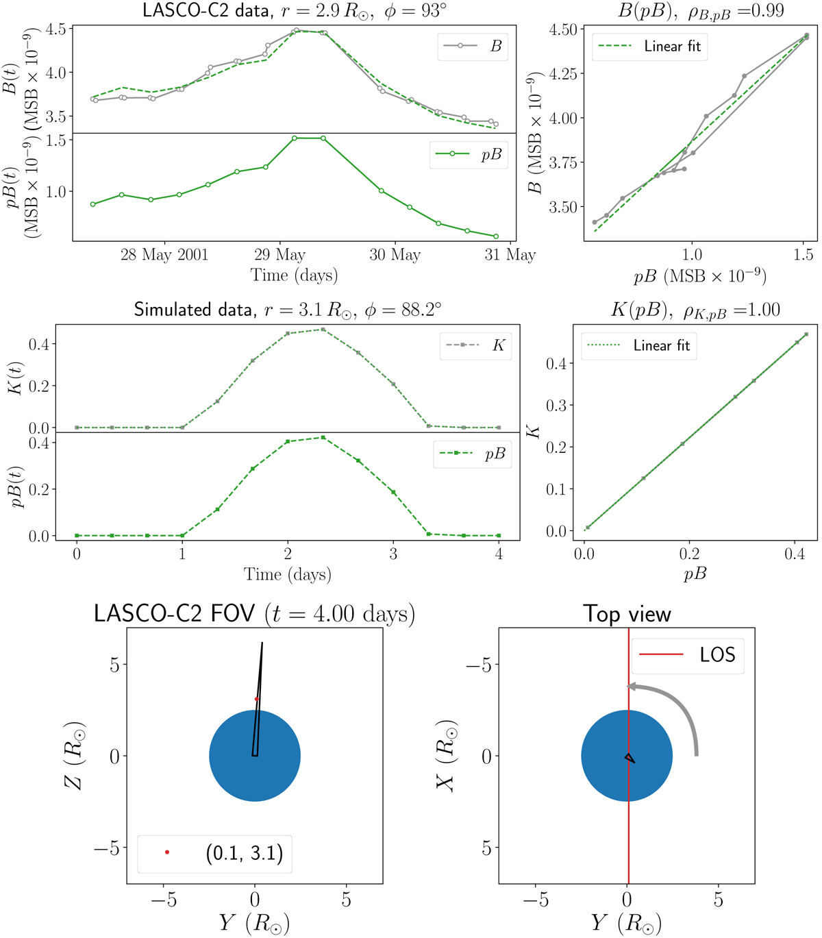
Same as Fig. 6, but for the pixel at r = 3.1 R and ϕ ≈ 90° (May 2001). The real and simulated data cover the time interval of ∼4 days. Bottom panels represent the orientation of a narrow simulated streamer at t = 4 days, as defined in Table B.1 (“Sim8”).

Current usage metrics show cumulative count of Article Views (full-text article views including HTML views, PDF and ePub downloads, according to the available data) and Abstracts Views on Vision4Press platform.

Data correspond to usage on the plateform after 2015. The current usage metrics is available 48-96 hours after online publication and is updated daily on week days.

Initial download of the metrics may take a while.