Fig. 9

Download original image
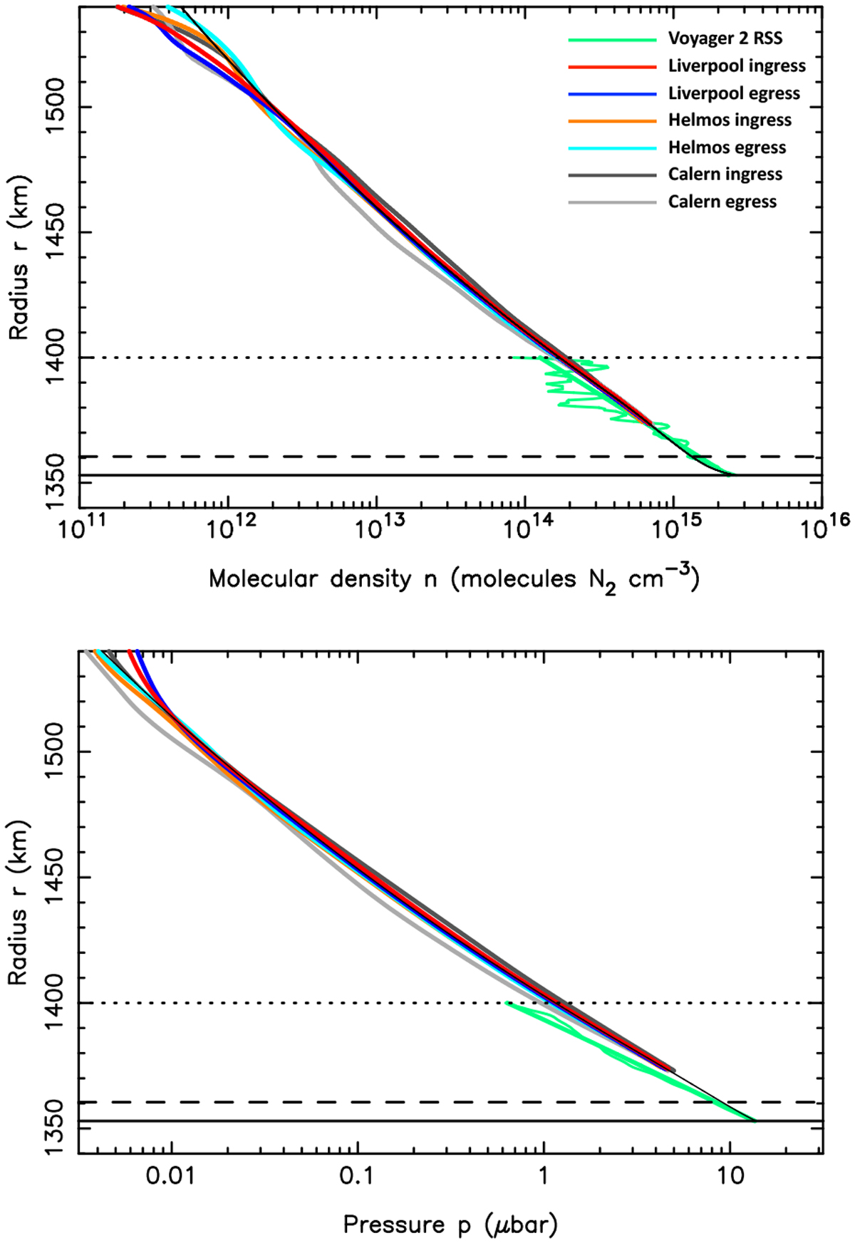
Density and pressure proflies of the atmosphere of Triton as a function of radius, r (the distance to Triton’s centre). Upper panel: density profiles of Triton’s atmosphere as a function of radius, retrieved by inverting three light curves obtained during the 5 October 2017 occultation and from the V2 radio phase delay at 3.6 cm. The colour codes are indicated in the upper right part of the plot. The same codes are used in Figs. 10–11 and Figs. 14–15. The thin black curve is a smooth synthetic density profile that fits the inverted profiles and is extrapolated down to the surface. It is derived from the smooth temperature profiles shown in Fig. 10. The solid horizontal line marks Triton’s surface (at radius RT = 1353 km), the dashed line indicates the central flash layer (near 1360 km), and the dotted horizontal line marks the reference radius, rref = 1400 km. Lower panel: corresponding pressure profiles.
Current usage metrics show cumulative count of Article Views (full-text article views including HTML views, PDF and ePub downloads, according to the available data) and Abstracts Views on Vision4Press platform.
Data correspond to usage on the plateform after 2015. The current usage metrics is available 48-96 hours after online publication and is updated daily on week days.
Initial download of the metrics may take a while.