Free Access
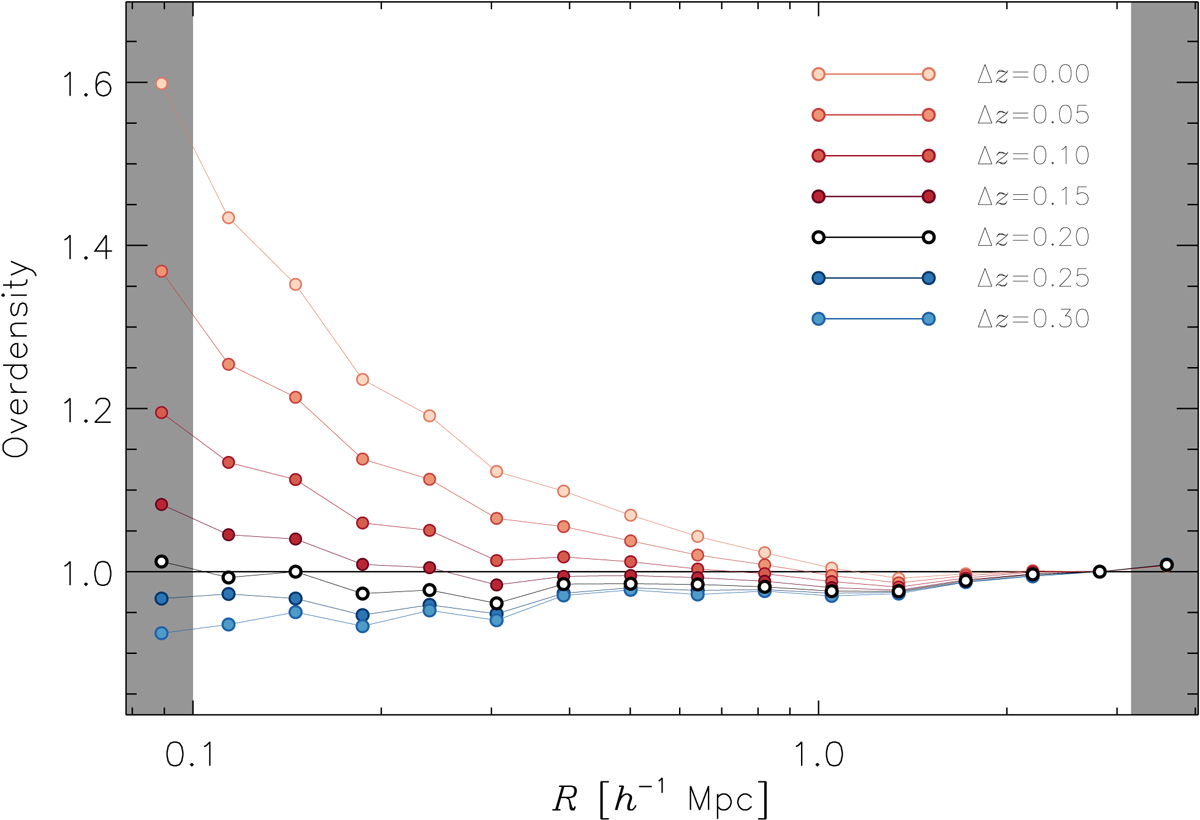
Fig. A.2.

Download original image
Relative source densities around AMICO clusters as a function of radius, R, and the photometric redshift offset, zB ≥ zl + Δz, between the lens and the source. We note that some small under-densities around R = 0.2 h−1 Mpc may be due to the relative normalization.
Current usage metrics show cumulative count of Article Views (full-text article views including HTML views, PDF and ePub downloads, according to the available data) and Abstracts Views on Vision4Press platform.
Data correspond to usage on the plateform after 2015. The current usage metrics is available 48-96 hours after online publication and is updated daily on week days.
Initial download of the metrics may take a while.