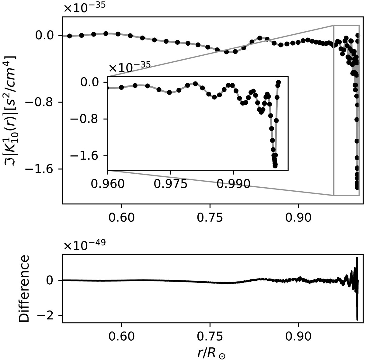
Fig. 2.

Download original image
Radial profiles of the imaginary part of the kernel for (ℓ = 1, m = 0) and vector index γ = 1, computed directly for and
using the equation (solid line) and by rotating the kernels for
and
(dots). The kernels are computed for line-of-sight projected measurements. Bottom panel: represents the absolute difference between the two results.
Current usage metrics show cumulative count of Article Views (full-text article views including HTML views, PDF and ePub downloads, according to the available data) and Abstracts Views on Vision4Press platform.
Data correspond to usage on the plateform after 2015. The current usage metrics is available 48-96 hours after online publication and is updated daily on week days.
Initial download of the metrics may take a while.