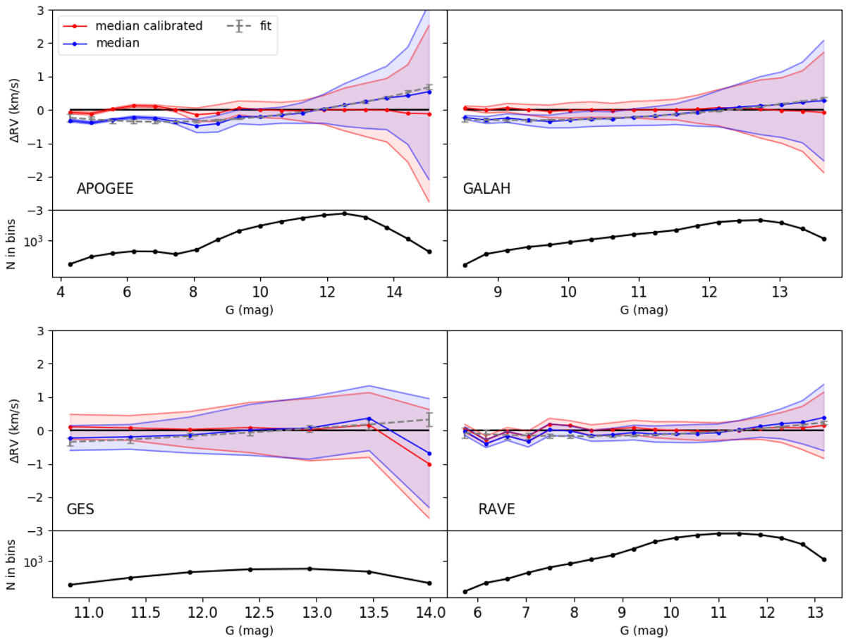
Fig. 9.

Download original image
Calibration of Gaia RVs for stars in common with APOGEE, GALAH, GES, and RAVE as a function of G mag derived by fitting a second degree polynomial (Eq. (5)). The blue and red points represent the median ΔRV of each bin with > 10 entries before and after the calibration respectively. The grey points are the binned ΔRV of the fit. The blue and red shadowed areas are the MAD of each bin. The bottom panels of each plot show the number of stars in each bin.
Current usage metrics show cumulative count of Article Views (full-text article views including HTML views, PDF and ePub downloads, according to the available data) and Abstracts Views on Vision4Press platform.
Data correspond to usage on the plateform after 2015. The current usage metrics is available 48-96 hours after online publication and is updated daily on week days.
Initial download of the metrics may take a while.