Open Access
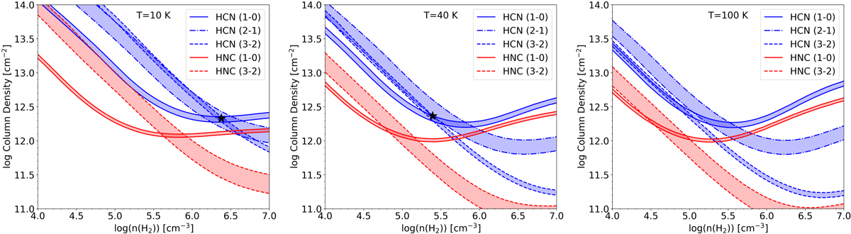
Fig. 7.

Download original image
Loci of density and kinetic temperatures compatible with the J = 1 → 0, 2 → 1, and 3 → 2 HCN and HNC line intensities toward Globule B. The shaded regions indicate 1σ uncertainties. A black star indicates highly constrained regions of overlap across all three transitions of HCN.
Current usage metrics show cumulative count of Article Views (full-text article views including HTML views, PDF and ePub downloads, according to the available data) and Abstracts Views on Vision4Press platform.
Data correspond to usage on the plateform after 2015. The current usage metrics is available 48-96 hours after online publication and is updated daily on week days.
Initial download of the metrics may take a while.