Fig. 14.

Download original image
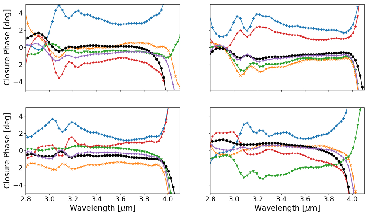
Four closure phases obtained on a bright star, IRAS 10153-5540, as a function of the wavelength. The blue(+), red(⋆), green(▿), and orange(×) lines represent the CP for the different BCD position calibrated by VV396 Cen. The black(•) line represents the CP corrected by the BCDs only. The purple(⋄) line represents the CP of IRAS 10153-5540 calibrated by VV396 Cen and corrected by the BCDs.
Current usage metrics show cumulative count of Article Views (full-text article views including HTML views, PDF and ePub downloads, according to the available data) and Abstracts Views on Vision4Press platform.
Data correspond to usage on the plateform after 2015. The current usage metrics is available 48-96 hours after online publication and is updated daily on week days.
Initial download of the metrics may take a while.