Fig. 15.

Download original image
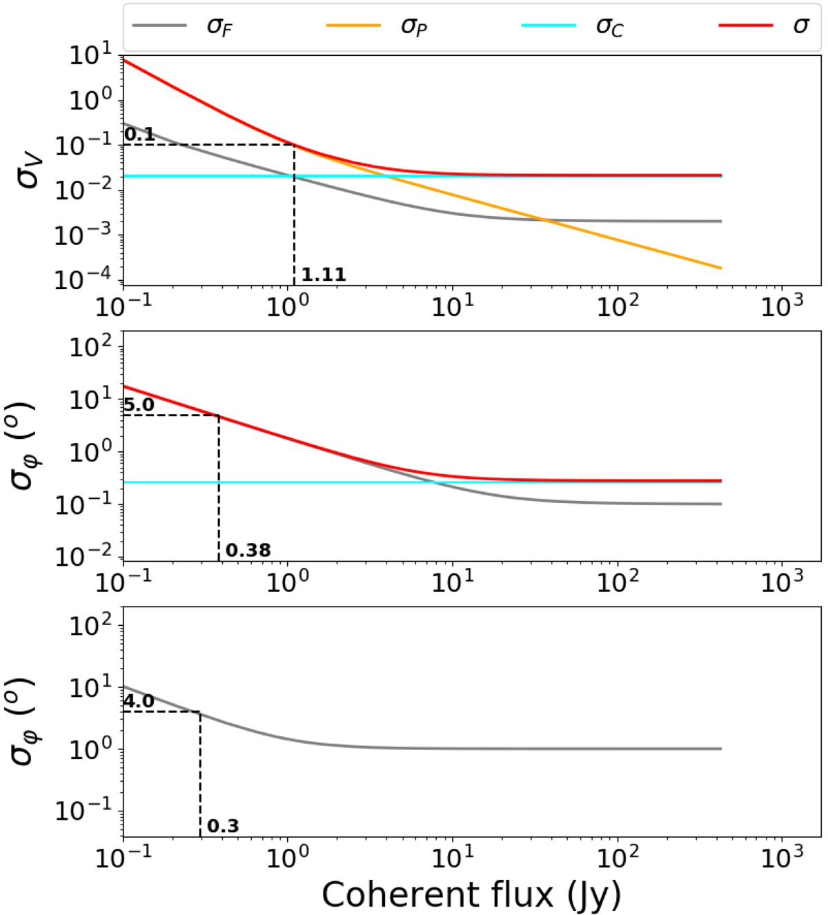
Illustration of the determination of the global measurement errors in low spectral resolution in the L band with the ATs. Top: visibility fundamental noise standard deviation (σF in grey), flux dependent error due to the broadband photometric error (σP in yellow), broadband calibration error (σC in cyan), and their combination (σ in red). Middle: same for the closure phase, without σP. Bottom: differential phase fundamental noise standard deviation (σF in grey).
Current usage metrics show cumulative count of Article Views (full-text article views including HTML views, PDF and ePub downloads, according to the available data) and Abstracts Views on Vision4Press platform.
Data correspond to usage on the plateform after 2015. The current usage metrics is available 48-96 hours after online publication and is updated daily on week days.
Initial download of the metrics may take a while.