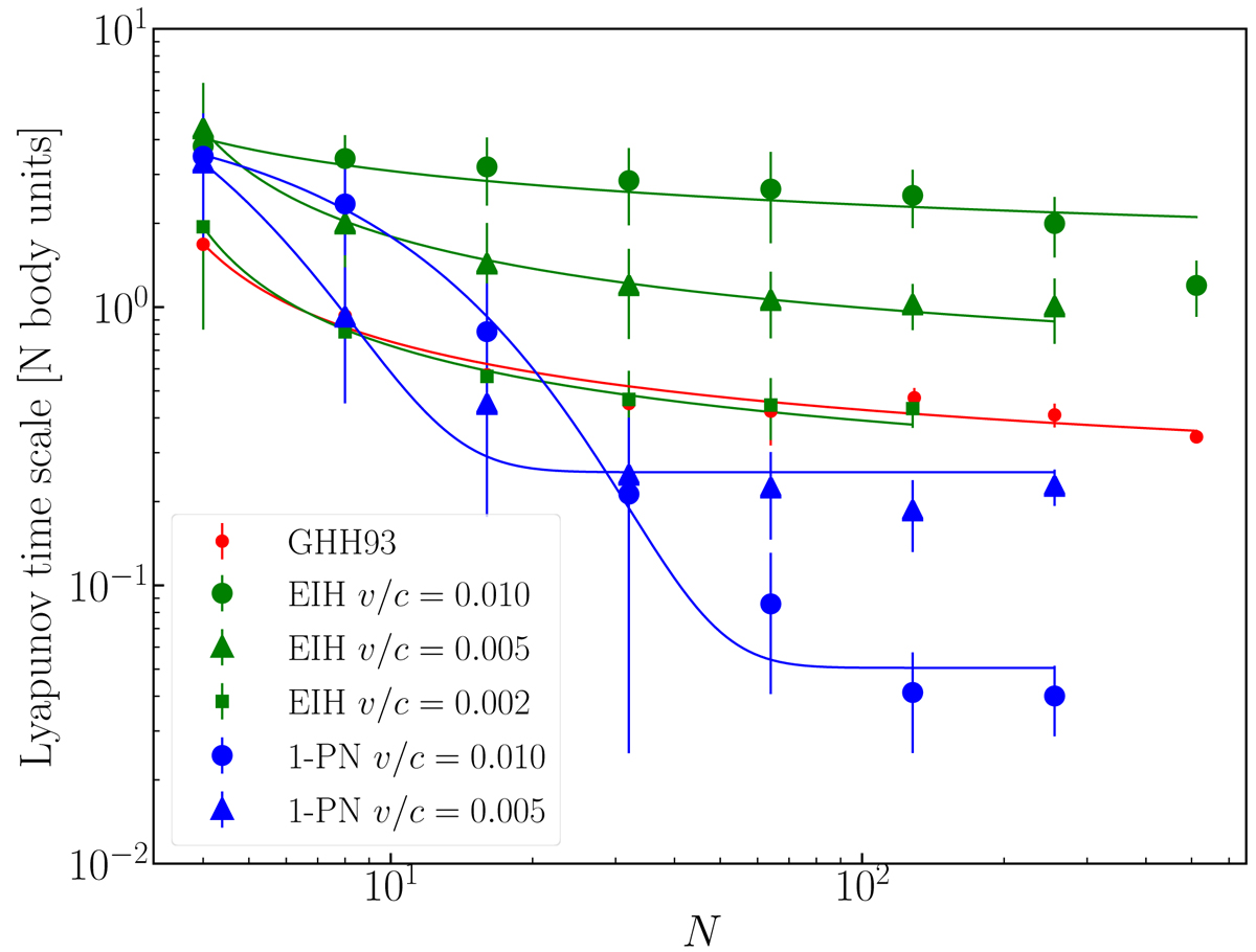
Fig. 10.

Download original image
Lyapunov timescale as a function of N for Goodman et al. (1993) (red bullets) compared to the various relativistic solutions. In blue we present the solutions using 1-PN pair-wise terms with a scaling to the speed of light of v/c = 0.010 and twice this value. For the EIH equations of motion we show the case for v/c = 0.010 in green, twice and four times this value. The top blue curve fits tλ ≃ 0.255 + 13.43e−0.371N for v/c = 0.005, and tλ ≃ 0.051 + 5.50e−0.115N for v/c = 0.010.
Current usage metrics show cumulative count of Article Views (full-text article views including HTML views, PDF and ePub downloads, according to the available data) and Abstracts Views on Vision4Press platform.
Data correspond to usage on the plateform after 2015. The current usage metrics is available 48-96 hours after online publication and is updated daily on week days.
Initial download of the metrics may take a while.