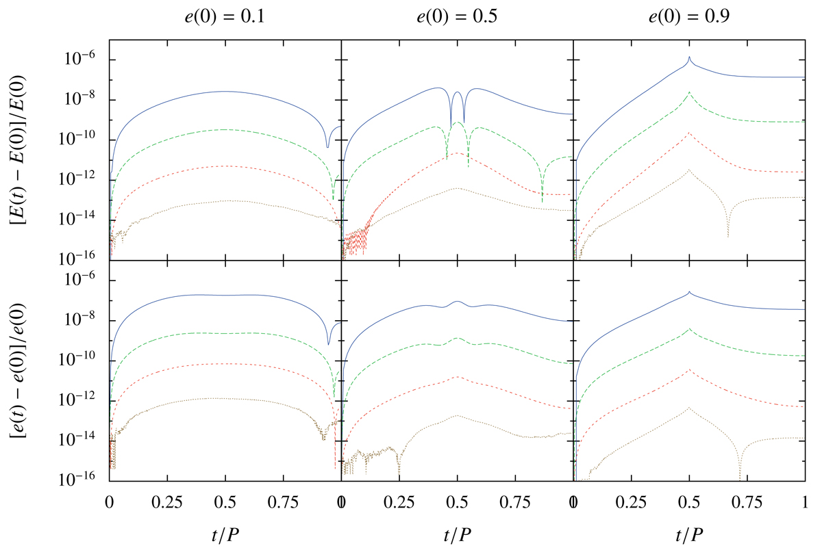
Fig. B.1.

Download original image
Relative error in the energy (top row of panels) and eccentricity (bottom row) for integrating a two-body system using the Hermite integrator without post-Newtonian terms for initial eccentricities e0 ∈ {0.1, 0.5, 0.9} (from left to right), for time-step parameters η ∈ {0.03, 0.01, 0.003, 0.001} (top to bottom in blue, green, red, and orange, respectively).
Current usage metrics show cumulative count of Article Views (full-text article views including HTML views, PDF and ePub downloads, according to the available data) and Abstracts Views on Vision4Press platform.
Data correspond to usage on the plateform after 2015. The current usage metrics is available 48-96 hours after online publication and is updated daily on week days.
Initial download of the metrics may take a while.