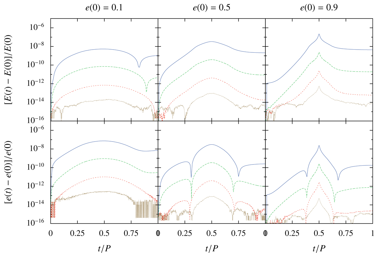
Fig. B.2.

Download original image
Relative integration errors in the energy (top row of panels) and eccentricity (bottom row) for one orbit using the regularized Hermite integrator for Newton’s equations of motion for initial eccentricities e0 ∈ {0.1, 0.5, 0.9} (left to right panels, respectively), for various time step parameters η ∈ {0.03, 0.01, 0.003, 0.001} (in colour: blue, green, red and orange, respectively).
Current usage metrics show cumulative count of Article Views (full-text article views including HTML views, PDF and ePub downloads, according to the available data) and Abstracts Views on Vision4Press platform.
Data correspond to usage on the plateform after 2015. The current usage metrics is available 48-96 hours after online publication and is updated daily on week days.
Initial download of the metrics may take a while.