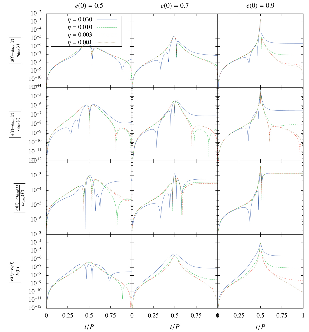
Fig. B.5.

Download original image
Relative errors in semimajor axis, eccentricity, argument of pericenter and post-Newtonian energy for a relativistic binary composed of a 50 M⊙ star in orbit around a 106 M⊙ supermassive black hole in a a = 1 mpc orbit with an initial eccentricity e0 ∈ {0.5, 0.7, 0.9}. The initial eccentricity was chosen to be e0 ∈ {0.5, 0.7, 0.9}. The integration was done using a regularized Hermite integrator, using a time step parameter of η ∈ {0.03, 0.01, 0.003, 0.001} to show convergence (blue, green, red, and orange, respectively).
Current usage metrics show cumulative count of Article Views (full-text article views including HTML views, PDF and ePub downloads, according to the available data) and Abstracts Views on Vision4Press platform.
Data correspond to usage on the plateform after 2015. The current usage metrics is available 48-96 hours after online publication and is updated daily on week days.
Initial download of the metrics may take a while.