Fig. C.2.

Download original image
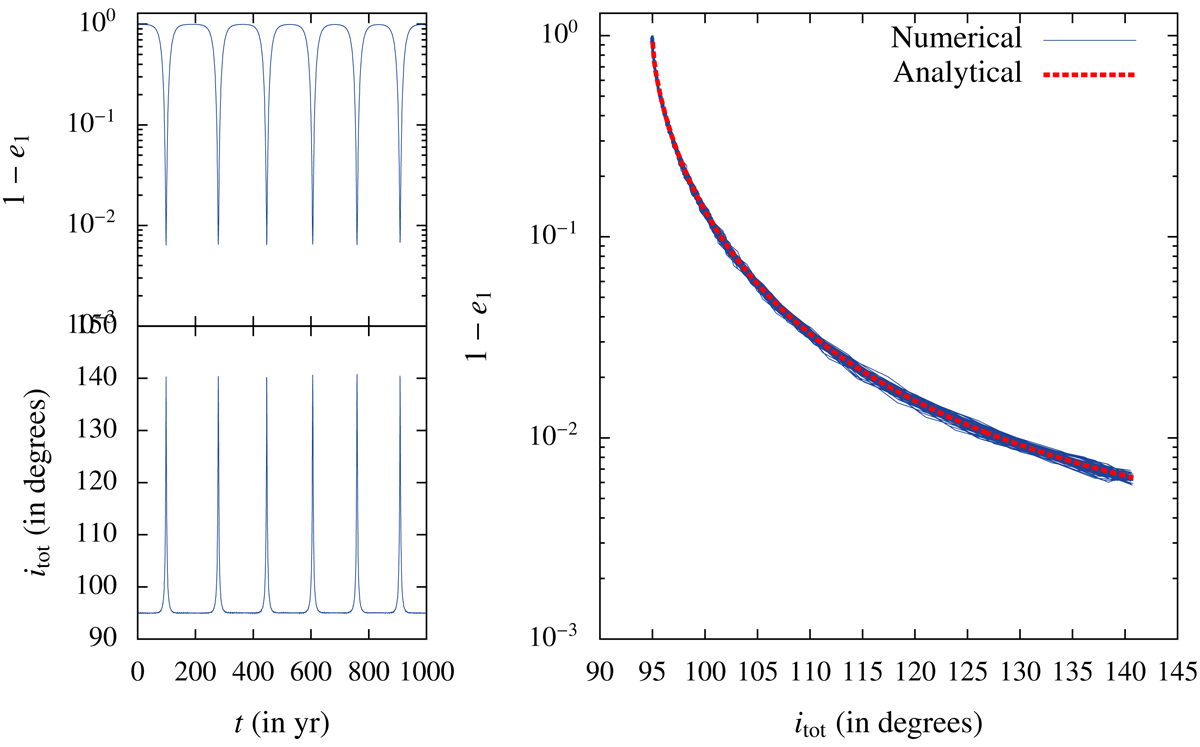
A few Kozai-Lidov cycles with their distinctive signature of high-eccentricity (low 1 − e1) spikes. On the right, the eccentricity and relative inclination are plotted against each other from t = 0 to t = 10000 yr, including the analytical prediction (based on the initial conditions and conservation of linear momentum in Equation C.2). The thickness of this line is due to numerical integration errors. Initial condition is a binary of masses m1 = 1 MJup and m2 = 1M⊙, semimajor axis a1 = 0.005 AU, and eccentricity e1 = 0.001, orbited by a third body of mass m3 = 106M⊙ at semimajor axis a2 = 51.4 AU, eccentricity e2 = 0.7, and relative inclination irel = 95°. Integration was done using a regularized Hermite integrator with a time-step parameter of η = 0.01.
Current usage metrics show cumulative count of Article Views (full-text article views including HTML views, PDF and ePub downloads, according to the available data) and Abstracts Views on Vision4Press platform.
Data correspond to usage on the plateform after 2015. The current usage metrics is available 48-96 hours after online publication and is updated daily on week days.
Initial download of the metrics may take a while.