Fig. 1.

Download original image
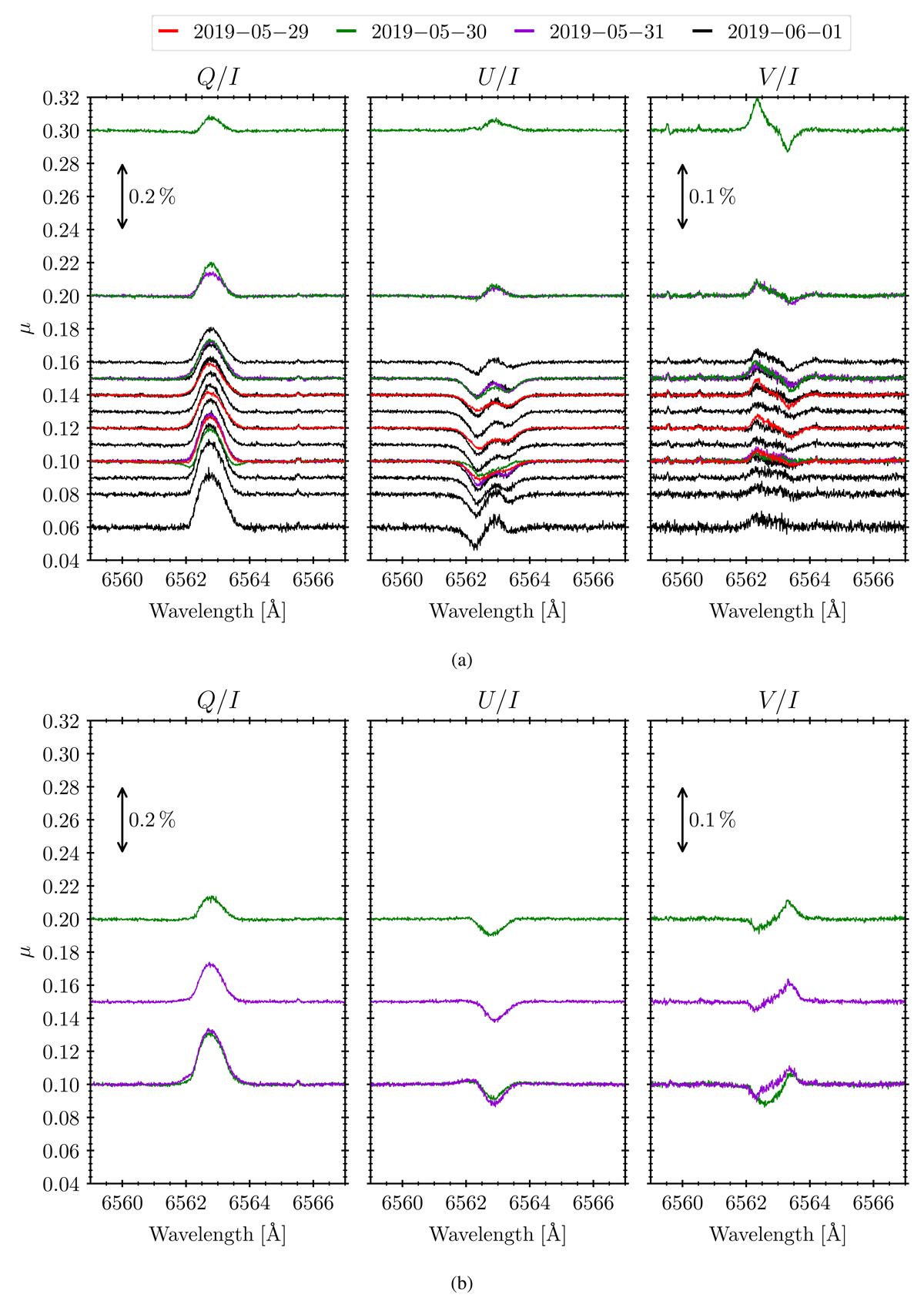
Center-to-limb variation of the Q/I, U/I, and V/I profiles of the emergent Hα radiation in coronal holes after spatial averaging. Panels a and b: show observations at the north and south limbs, respectively. The vertical axis of the figures shows the μ position. The vertical row in the Q/I panels indicates the scale of the polarization amplitudes. The noise level, after averaging along the spatial direction of the slit, is about 3 × 10−5. The reference direction for positive Q/I is the parallel to the nearest limb. The ID of the north-limb observations are 01, 02, 03, 05, 06, 07, 08, 23, 24, 25, 28, 29, 30, 31, 32, 33, 34, 35, 36, 37, and 38. The south-limb observations are 09, 10, 26, and 27 (see Table A.1).
Current usage metrics show cumulative count of Article Views (full-text article views including HTML views, PDF and ePub downloads, according to the available data) and Abstracts Views on Vision4Press platform.
Data correspond to usage on the plateform after 2015. The current usage metrics is available 48-96 hours after online publication and is updated daily on week days.
Initial download of the metrics may take a while.