Free Access
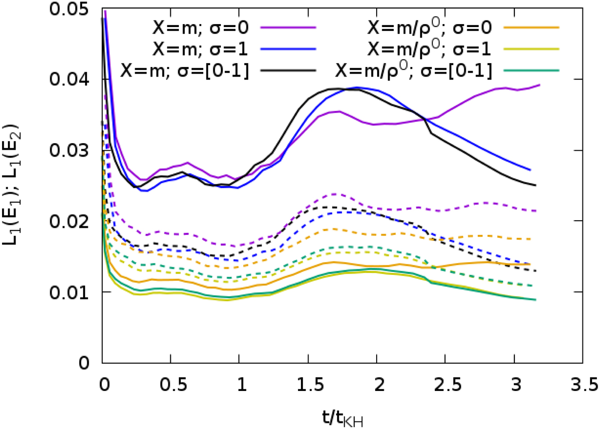
Fig. 11.

Download original image
L1 values for E1 (solid lines) and E2 (dashed lines) in the wind-cloud collision tests. Using the improved VEs reduces both L1 values for the whole simulation.
Current usage metrics show cumulative count of Article Views (full-text article views including HTML views, PDF and ePub downloads, according to the available data) and Abstracts Views on Vision4Press platform.
Data correspond to usage on the plateform after 2015. The current usage metrics is available 48-96 hours after online publication and is updated daily on week days.
Initial download of the metrics may take a while.