Fig. 5.

Download original image
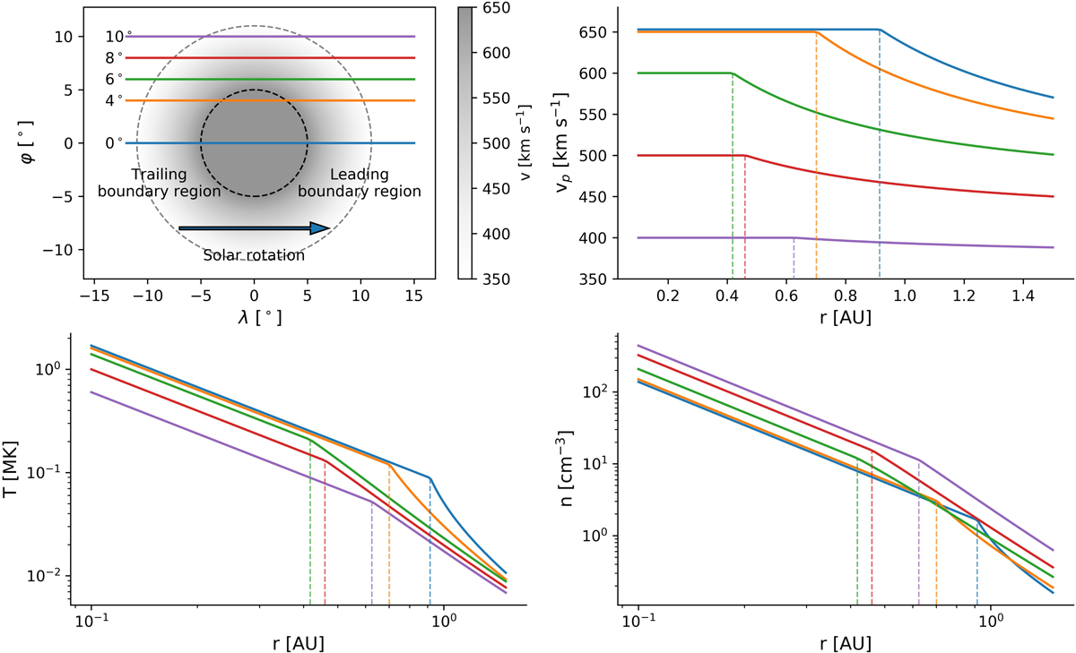
Evolution of HSS properties with distance from the Sun. Top left: schematic cross section of an HSS at 0.1 AU with a longitudinal width of 22°. Top right: peak velocity of the HSS versus its distance from the Sun. Bottom: temperature (left) and density (right) of the associated HSS plasma parcels versus the distance from the Sun. The HSS properties have been derived at latitudinal displacements of 0° (blue), 4° (orange), 6° (green), 8° (red), and 10° (purple) to the center of the HSS. The dashed vertical lines mark the distance at which the plasma parcels start to originate from the trailing boundary region.
Current usage metrics show cumulative count of Article Views (full-text article views including HTML views, PDF and ePub downloads, according to the available data) and Abstracts Views on Vision4Press platform.
Data correspond to usage on the plateform after 2015. The current usage metrics is available 48-96 hours after online publication and is updated daily on week days.
Initial download of the metrics may take a while.