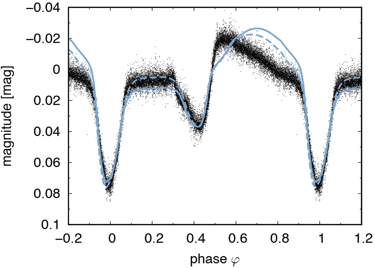
Fig. 9

Download original image
Simulated light curve assuming a magnetic field given by the combination of a dipole and quadrupole and accounting for both absorption and emission in the magnetosphere (dashed line). The solid line corresponds to the model that also accounts for surface spots (Oksala et al. 2015). This is compared with the observed light curve of σ Ori E (Townsend et al. 2013) and phased with the ephemeris from Townsend et al. (2010).
Current usage metrics show cumulative count of Article Views (full-text article views including HTML views, PDF and ePub downloads, according to the available data) and Abstracts Views on Vision4Press platform.
Data correspond to usage on the plateform after 2015. The current usage metrics is available 48-96 hours after online publication and is updated daily on week days.
Initial download of the metrics may take a while.