Fig. A.1.

Download original image
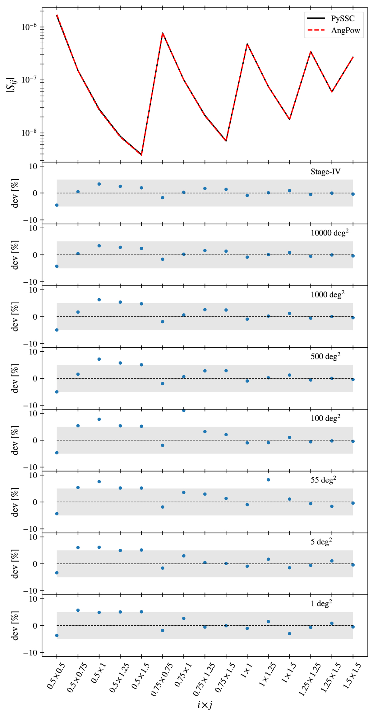
Top panel: Absolute value of the Sij matrix elements in the case of a stage-IV angular mask, as predicted by PySSC in black solid line and AngPow in red dashed lines. The elements are ordered column by column of the lower half of the matrices, including the diagonal (i × i). The corresponding x-coordinates, i × j, label the redshift bins that are cross-correlated. Panels 2 to 9: Relative deviations (in percent) between the two methods for decreasing survey area. The grey area depicts the 5% discrepancy.
Current usage metrics show cumulative count of Article Views (full-text article views including HTML views, PDF and ePub downloads, according to the available data) and Abstracts Views on Vision4Press platform.
Data correspond to usage on the plateform after 2015. The current usage metrics is available 48-96 hours after online publication and is updated daily on week days.
Initial download of the metrics may take a while.