Open Access

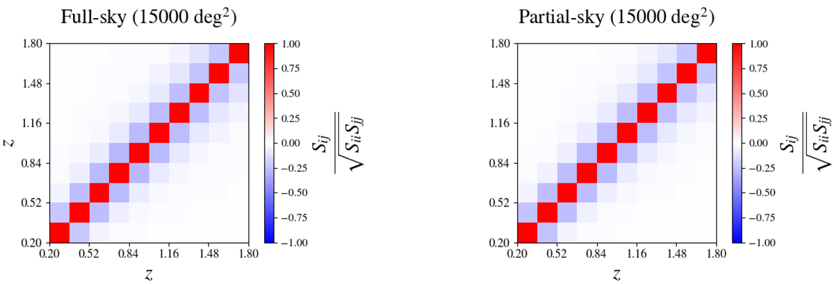
Fig. 2.

image

Download original image

Sij correlation matrices obtained for a 15 000 deg2 circular mask, and arbitrary, non-overlapping top-hat kernels for the full-sky computation of Eq. (13) (left) and the partial-sky computation of Eq. (18) (right).

Current usage metrics show cumulative count of Article Views (full-text article views including HTML views, PDF and ePub downloads, according to the available data) and Abstracts Views on Vision4Press platform.

Data correspond to usage on the plateform after 2015. The current usage metrics is available 48-96 hours after online publication and is updated daily on week days.

Initial download of the metrics may take a while.