Free Access
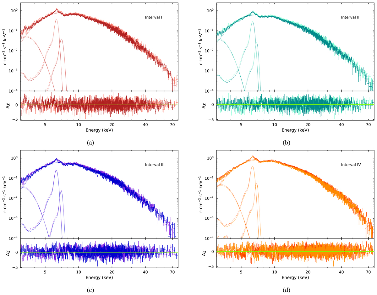
Fig. 7.

Download original image
Time-resolved spectra for each defined interval fitted with Model bbody+cutoffpl+gauss plus cyclabs. Bottom panel: each subplot indicates the model residuals.
Current usage metrics show cumulative count of Article Views (full-text article views including HTML views, PDF and ePub downloads, according to the available data) and Abstracts Views on Vision4Press platform.
Data correspond to usage on the plateform after 2015. The current usage metrics is available 48-96 hours after online publication and is updated daily on week days.
Initial download of the metrics may take a while.