Fig. 4.

Download original image
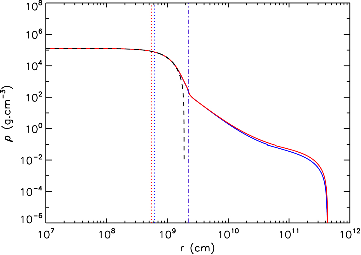
Density profile in the degenerate helium core of models sharing similar values of ρc but different stellar parameters (blue curve: M = 1 M⊙ and [Fe/H] = −0.4 dex, red curve: M = 1.4 M⊙ and [Fe/H] = +0.4 dex). The dotted lines delimit the region of strong degeneracy for both models and the dash-dot lines indicate the location of the H-burning shell. The black dashed line corresponds to the density profile for a polytrope of exponent γ = 1.55.
Current usage metrics show cumulative count of Article Views (full-text article views including HTML views, PDF and ePub downloads, according to the available data) and Abstracts Views on Vision4Press platform.
Data correspond to usage on the plateform after 2015. The current usage metrics is available 48-96 hours after online publication and is updated daily on week days.
Initial download of the metrics may take a while.