Fig. 6.

Download original image
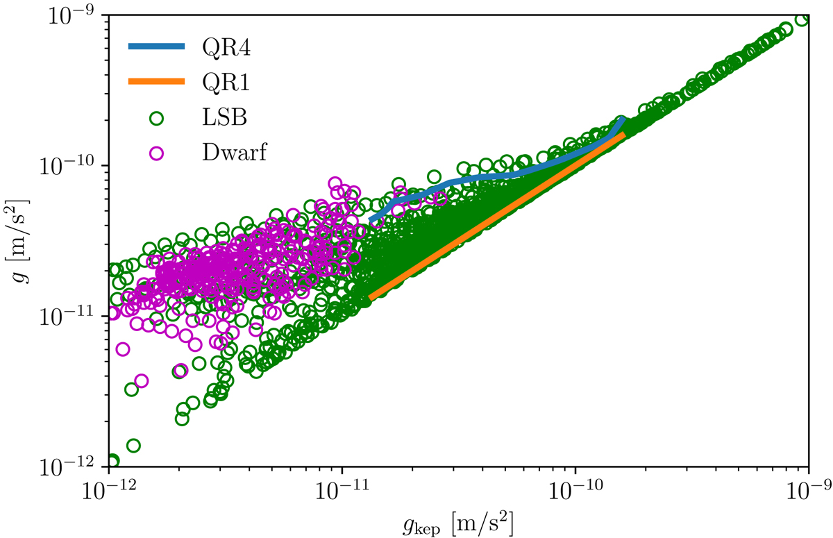
Relation between total acceleration and baryonic component for LSB and dwarf galaxies (Paolo et al. 2019). Acceleration deduced from the rotation curves of models QR1 and QR4 of Voglis et al. (2006) and Harsoula & Kalapotharakos (2009) assuming a half-mass radius of 3 kpc and a total mass of 1011 M⊙ for the galaxy. QR1 is taken as the reference for Keplerian rotation. The bifurcation between Keplerian rotation (QR1) and anomalous rotation (QR4) can be interpreted as a phase transition induced by the presence of substructures, i.e., spiral arms that have developed in model QR4.
Current usage metrics show cumulative count of Article Views (full-text article views including HTML views, PDF and ePub downloads, according to the available data) and Abstracts Views on Vision4Press platform.
Data correspond to usage on the plateform after 2015. The current usage metrics is available 48-96 hours after online publication and is updated daily on week days.
Initial download of the metrics may take a while.