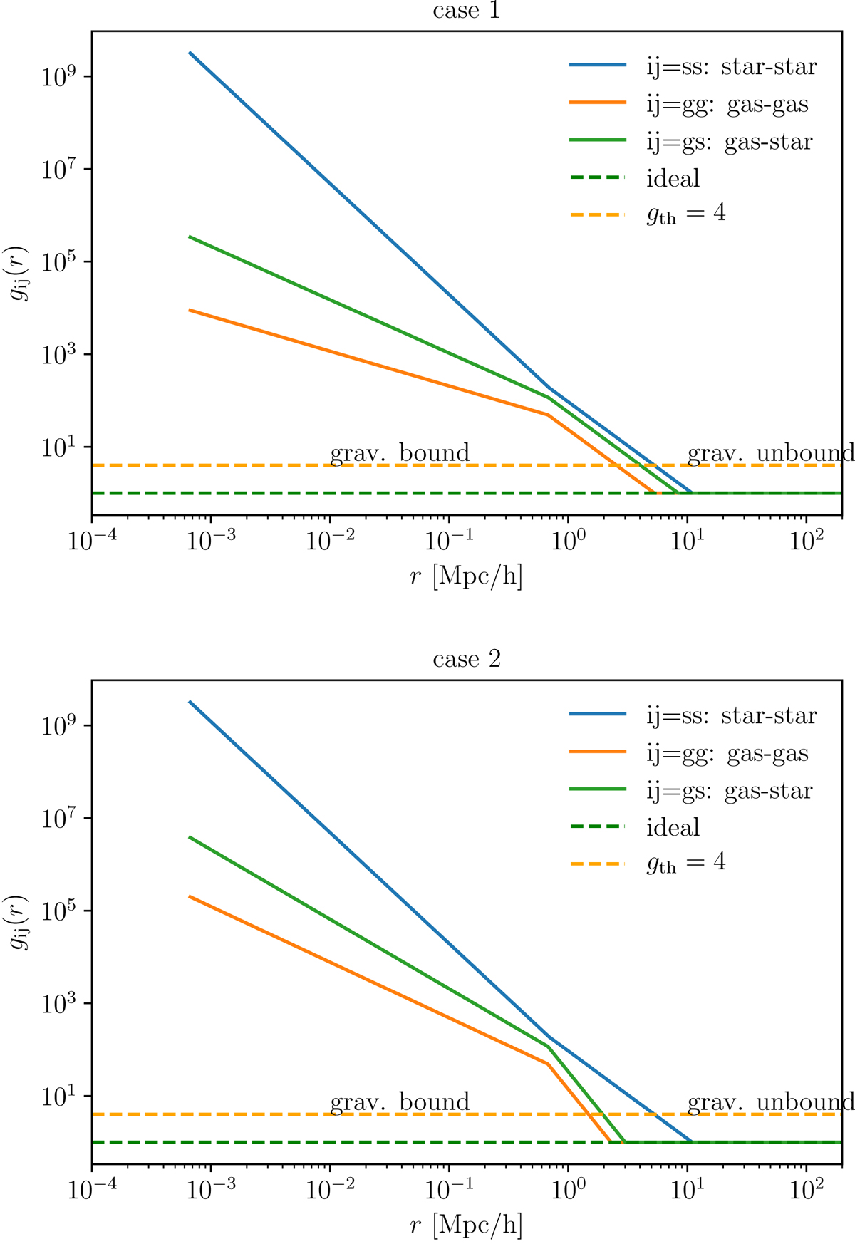
Fig. 7.

Download original image
Radial distribution function of stars and gas corresponding to the parameters given in Table 1. Case 1 corresponds to a fit of the correlation functions of the large-scale structures of the Universe at redshift 0 in the IllustrisTNG simulation from Springel et al. (2017). Case 2 uses the same stellar component, but more compact substructures in the gas component.
Current usage metrics show cumulative count of Article Views (full-text article views including HTML views, PDF and ePub downloads, according to the available data) and Abstracts Views on Vision4Press platform.
Data correspond to usage on the plateform after 2015. The current usage metrics is available 48-96 hours after online publication and is updated daily on week days.
Initial download of the metrics may take a while.