Free Access
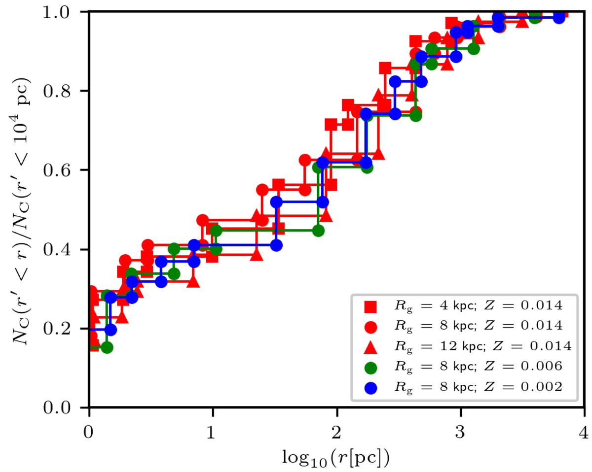
Fig. 12.

Download original image
Cumulative distribution of Cepheids according to the distance r to the density centre of their birth cluster for the whole population of star clusters from the ECMF of Eq. (3). We only plot the Cepheids whose birth cluster is still gravitationally bound at the time of the occurrence of the Cepheid.
Current usage metrics show cumulative count of Article Views (full-text article views including HTML views, PDF and ePub downloads, according to the available data) and Abstracts Views on Vision4Press platform.
Data correspond to usage on the plateform after 2015. The current usage metrics is available 48-96 hours after online publication and is updated daily on week days.
Initial download of the metrics may take a while.