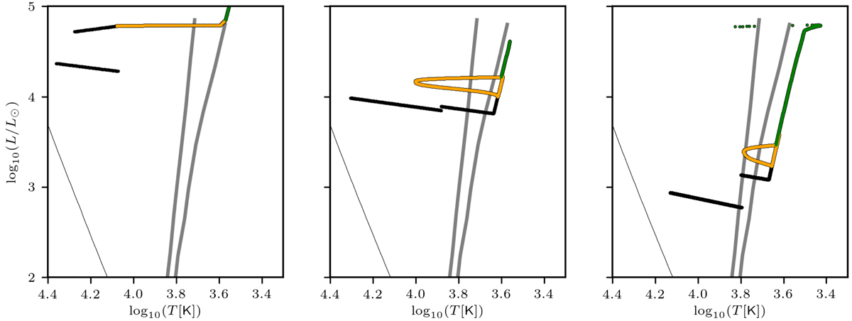
Fig. A.1.

Download original image
Examples of HR diagrams where the evolutionary path of the primary had been altered by a merger with the secondary. These plots show examples from the library of simulations calculated by NBODY6 for Z = 0.014. The evolution from the terminal age main-sequence to core He burning is represented by black points, during core He burning by orange points, and afterwards by green points. The coalescence causes a sudden increase of luminosity, which can be seen as the discontinuity in the evolutionary tracks. The instability strip and ZAMS are shown by the thick and thin black lines, respectively. Left panel: Coalescence with relatively massive secondary (7 M⊙), which increases the primary mass so much that the merger object does not become a Cepheid. Middle panel: Coalescence with a lower mass secondary, which does not prevent the star from becoming a Cepheid. Right panel: Lower mass primary (4.3 M⊙), which would not have evolved to a Cepheid in isolation, becomes a Cepheid after a coalescence.
Current usage metrics show cumulative count of Article Views (full-text article views including HTML views, PDF and ePub downloads, according to the available data) and Abstracts Views on Vision4Press platform.
Data correspond to usage on the plateform after 2015. The current usage metrics is available 48-96 hours after online publication and is updated daily on week days.
Initial download of the metrics may take a while.