Fig. 6.

Download original image
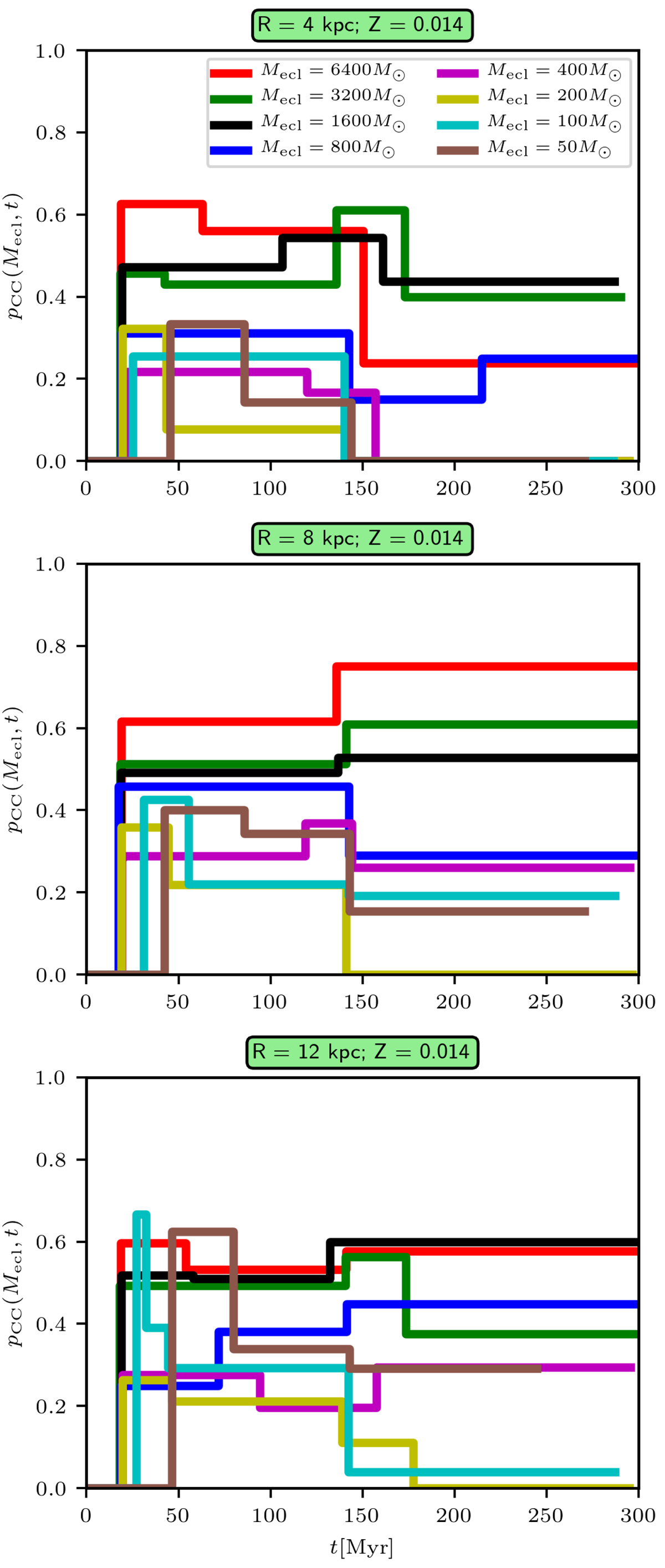
Fraction pCC(Mecl, t) of cluster Cepheids as a function of time for clusters orbiting the galaxy at different galactocentric radii: Rg = 4 kpc (upper panel), Rg = 8 kpc (middle panel), and Rg = 12 kpc (lower panel). The cluster mass is indicated by colour. Metallicity is Z = 0.014 for all models. The plot shows all Cepheids including UpCeps, which occur after tHe, end. Generally, pCC(Mecl, t) decreases with time for lower mass clusters (Mecl ≲ 800 M⊙), and it stays approximately constant for clusters more massive than that. The histogram is binned by the Bayesian blocks algorithm. The lines terminate at 300 Myr or at the occurrence of the last Cepheid.
Current usage metrics show cumulative count of Article Views (full-text article views including HTML views, PDF and ePub downloads, according to the available data) and Abstracts Views on Vision4Press platform.
Data correspond to usage on the plateform after 2015. The current usage metrics is available 48-96 hours after online publication and is updated daily on week days.
Initial download of the metrics may take a while.