Fig. 7.

Download original image
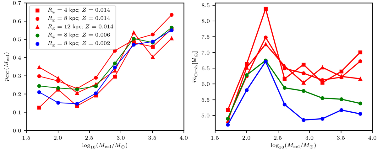
Left panel: fraction of cluster Cepheids pCC(Mecl) (including UpCeps) as a function of cluster mass Mecl integrated over the first 300 Myr of the cluster evolution. Clusters orbiting at different galactocentric radii Rg are denoted by different symbols; clusters with different metallicity Z are denoted by different colour of the symbol. The external field of the galaxy, which impacts the lower mass clusters more, is responsible for the decrease of pCC(Mecl) with Rg. pCC(Mecl) increases with Mecl because more massive clusters withstand gas expulsion and the tidal field of the galaxy better. For lower mass clusters, pCC(Mecl) decreases with metallicity because Cepheids occur later at lower Z, at which time more low-mass clusters have been dissolved. Right panel: mean mass of Cepheids in the cluster as a function of Mecl. At a given metallicity, peaks at a cluster mass of 200 M⊙ because lower mass clusters do not live long enough to host lower mass Cepheids. The decrease of
with decreasing Z is caused by the decreasing lower mass limit mmin, Ceph for Cepheids with Z.
Current usage metrics show cumulative count of Article Views (full-text article views including HTML views, PDF and ePub downloads, according to the available data) and Abstracts Views on Vision4Press platform.
Data correspond to usage on the plateform after 2015. The current usage metrics is available 48-96 hours after online publication and is updated daily on week days.
Initial download of the metrics may take a while.