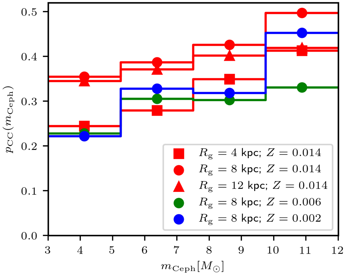
Fig. 8.

Download original image
Fraction of cluster Cepheids pCC(mCeph) as a function of the Cepheid mass mCeph for Cepheids originating from clusters at different galactocentric radius Rg (indicated by symbols) and of different metallicity Z (indicated by colour). The plot represents Cepheids originating from the whole population of star clusters of the ECMF of Eq. (3). Cepheids of higher mass have a slightly higher probability of being found in clusters.
Current usage metrics show cumulative count of Article Views (full-text article views including HTML views, PDF and ePub downloads, according to the available data) and Abstracts Views on Vision4Press platform.
Data correspond to usage on the plateform after 2015. The current usage metrics is available 48-96 hours after online publication and is updated daily on week days.
Initial download of the metrics may take a while.