Free Access
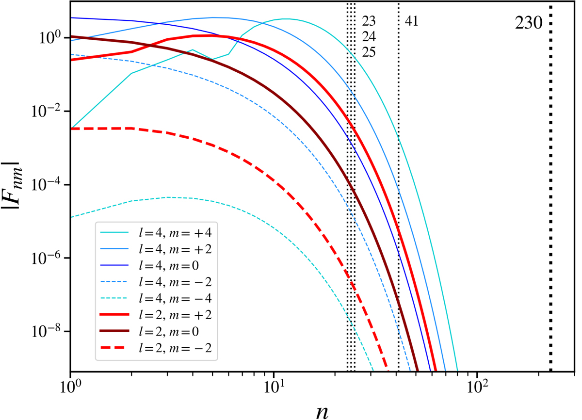
Fig. 17.

Download original image
Dependence of Hansen coefficients Fnm on the multiple of the orbital frequency, n, for TEOs with eight different (l, m) values. The solid and dashed coloured curves show solutions for Eq. (4), assuming e= 0.507 (Jaya21). The vertical dotted lines mark TEOs detected in the ExtEEV. See the main text for more details.
Current usage metrics show cumulative count of Article Views (full-text article views including HTML views, PDF and ePub downloads, according to the available data) and Abstracts Views on Vision4Press platform.
Data correspond to usage on the plateform after 2015. The current usage metrics is available 48-96 hours after online publication and is updated daily on week days.
Initial download of the metrics may take a while.