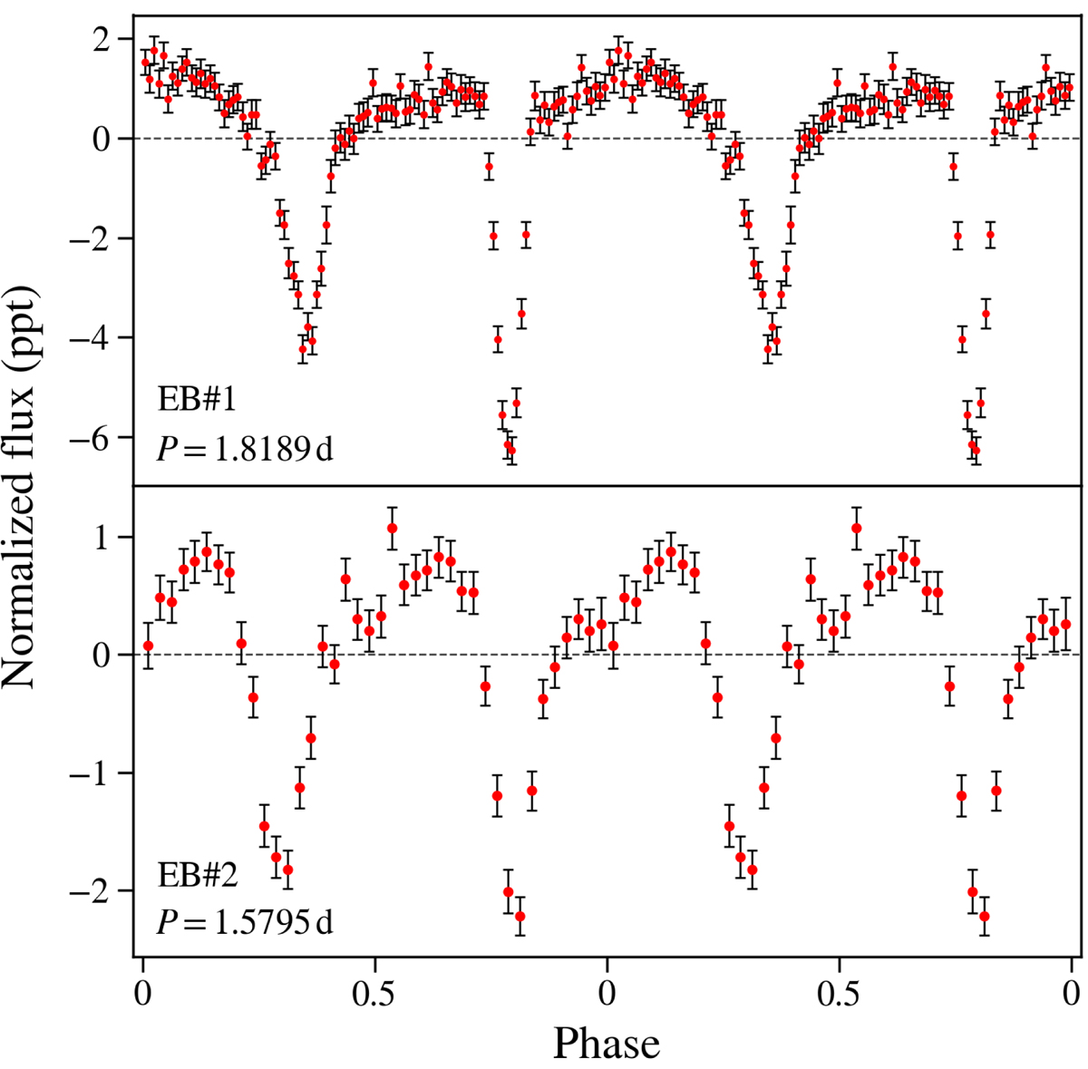
Fig. 5.

Download original image
Phased light curves of two eclipsing binaries separated from our TESS light curve of the ExtEEV. Each point represents the median value calculated in the 0.01 (upper) and 0.025 (lower) phase bins. The upper panel shows the light curve of OGLE-LMC-ECL-15664, and the lower shows that of OGLE-LMC-ECL-15785 (HD 269548). Phase 0.0 corresponds to BJD 2458325.6366 (for EB#1) and BJD 2458325.7898 (for EB#2).
Current usage metrics show cumulative count of Article Views (full-text article views including HTML views, PDF and ePub downloads, according to the available data) and Abstracts Views on Vision4Press platform.
Data correspond to usage on the plateform after 2015. The current usage metrics is available 48-96 hours after online publication and is updated daily on week days.
Initial download of the metrics may take a while.