Fig. 5.

Download original image
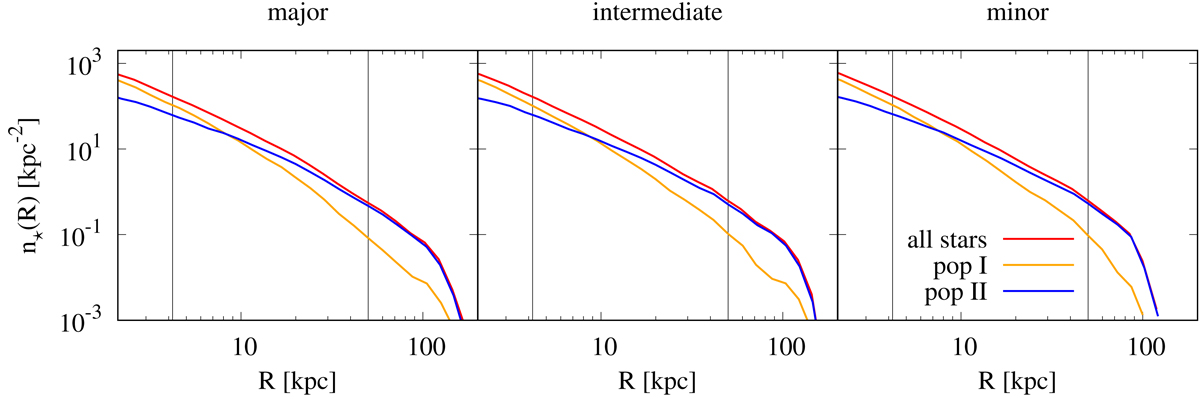
Surface number density profiles of the stellar data samples for the simulated galaxy observed along different lines of sight (from the left to the right). Different lines show profiles for all available stars (in red), the metal-rich population I (in orange), and the metal-poor population II (in blue). Thin vertical lines indicate r0 (see text) and the outer boundary of the spectroscopic data.
Current usage metrics show cumulative count of Article Views (full-text article views including HTML views, PDF and ePub downloads, according to the available data) and Abstracts Views on Vision4Press platform.
Data correspond to usage on the plateform after 2015. The current usage metrics is available 48-96 hours after online publication and is updated daily on week days.
Initial download of the metrics may take a while.